Khumairoh K
20 Agustus 2024 01:52
Iklan
Khumairoh K
20 Agustus 2024 01:52
Pertanyaan
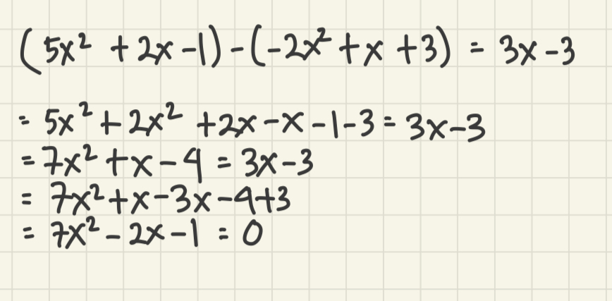
( 5ײ + 2× - 1 ) - ( -2ײ + × + 3 ) = 3× -3

1
2
Iklan
Muhammad S

20 Agustus 2024 11:31
Jika Diskriminan nya kurang dari 0, maka tidak ada penyelesaian
· 0.0 (0)
Iklan
Khalishah A
23 Agustus 2024 18:49
Jawaban dan cara tertera pada gambar.

· 0.0 (0)
Tanya ke AiRIS
Yuk, cobain chat dan belajar bareng AiRIS, teman pintarmu!

LATIHAN SOAL GRATIS!
Drill Soal
Latihan soal sesuai topik yang kamu mau untuk persiapan ujian


Perdalam pemahamanmu bersama Master Teacher
di sesi Live Teaching, GRATIS!