Cya C
03 Agustus 2025 12:11
Iklan
Cya C
03 Agustus 2025 12:11
Pertanyaan
1
2
Iklan
Nabila N
03 Agustus 2025 12:52
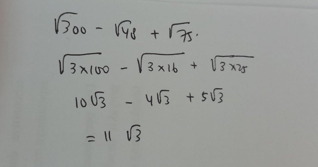
√300 - √48 + √75 = ?
sederhanakan:
√300
= √(100 × 3)
= √100 × √3
= 10√3
√48
= √(16 × 3)
= √16 × √3
= 4√3
√75
= √(25 × 3)
= √25 × √3
= 5√3
penjumlahan:
10√3 - 4√3 + 5√3
= (10 - 4 + 5)√3
= 11√3
Jawaban akhirnya adalah: 11√3
· 5.0 (1)
Iklan
Evelyn E
04 Agustus 2025 01:32
Semoga membantu

· 0.0 (0)
Tanya ke AiRIS
Yuk, cobain chat dan belajar bareng AiRIS, teman pintarmu!

LATIHAN SOAL GRATIS!
Drill Soal
Latihan soal sesuai topik yang kamu mau untuk persiapan ujian


Perdalam pemahamanmu bersama Master Teacher
di sesi Live Teaching, GRATIS!