Gallangalamsyah G
10 Agustus 2024 00:24
Iklan
Gallangalamsyah G
10 Agustus 2024 00:24
Pertanyaan
5
1
Iklan
Ima N
10 Agustus 2024 07:35
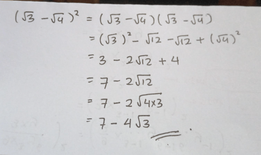
semoga mengerti

· 0.0 (0)
Iklan
Tanya ke AiRIS
Yuk, cobain chat dan belajar bareng AiRIS, teman pintarmu!

LATIHAN SOAL GRATIS!
Drill Soal
Latihan soal sesuai topik yang kamu mau untuk persiapan ujian


Perdalam pemahamanmu bersama Master Teacher
di sesi Live Teaching, GRATIS!