Urutkan
Theresia C
20 Januari 2025 11:18
1
Aliyah A
20 Januari 2025 11:11
0
Bregas R

20 Januari 2025 10:59

1
Izza P
20 Januari 2025 06:28
2
Citra K
19 Januari 2025 22:36

2
Citra K
19 Januari 2025 22:32
1
Muh. A

19 Januari 2025 15:16
1
MUHAMAD S
19 Januari 2025 14:23
1
Ichsan H
19 Januari 2025 13:32
2
Chells C
19 Januari 2025 08:41
3
Seorang siswa melakukan pengukuran panjang suatu benda menggunakan jangka sorong, dengan hasil pengukuran seperti di bawah ini.
Panjang benda tersebut adalah ...
5
3.9
Perhatikan gambar berikut ini!
Kuat arus terkecil adalah ...
1
4.9
Kawat lurus merniliki panjang 120 cm dialiri arus searah 0,25 A. Jika ruang tersebut dipengaruhi medan magnet 0,5 T dalam arah tegak lurus arus maka besar gaya Lorentz yang dialami kawat adalah ....
16
3.7
Sebuah benda 2 kg diikat dengan seutas tali yang panjangnya 1,5 m, lalu diputar menurut lintasan vertikal dengan kecepatan sudut tetap. Jika g = 10 m/s2 dan pada saat berada di titik terendah tali mengalami tegangan sebesar 47 newton, maka kecepatan sudutnya dalam rad/s adalah....
8
4.7
Sebuah benda bermassa 5 kg bergerak dengan kecepatan 10 . Energi kinetik benda tersebut sebesar ...
4
4.5
Sebuah transformator memiliki efisiensi 75%. Tegangan inputnya 220 V dan tegangan outputnya 110 V. Jika kuat arus primer yang mengalir 2 A, kuat arus sekundernya adalah ...
11
4.0
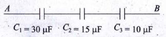
Perhatikan gambar di atas. Setelah ujung A dan B dilepas dari sumber tegangan yang beda potensialnya 6 V maka besar muatan pada kapasitor C2 adalah ...
5
4.6

R-L-C rangkaian seperti gambar masing-masing besarnya R = 30 Ohm, L = 0,8 H, C = 250 µF dihubungkan dengan sumber tegangan arus bolak-balik dengan nilai V = 200 sin 100 t dalam satuan Sl. Hitung arus efektif yang mengalir pada rangkaian!
2
4.8
Perhatikan gambar berikut !
Nilai arus efektif rangkaian adalah ... A
(UN 2009)
5
4.8
Suatu gelombang berjalan dengan mempunyai persamaan , x dan y dalam cm dan t dalam sekon. Besar simpangan di titik berjarak 5 cm dari titik asal pada saat titik asal telah bergetar selama 2 sekon adalah....
4
4.5
RUANGGURU HQ
Jl. Dr. Saharjo No.161, Manggarai Selatan, Tebet, Kota Jakarta Selatan, Daerah Khusus Ibukota Jakarta 12860
Produk Ruangguru
Bantuan & Panduan
Hubungi Kami
©2026 Ruangguru. All Rights Reserved PT. Ruang Raya Indonesia