Iklan

Pertanyaan

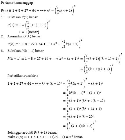
Untuk setiap n , dengan adalah bilangan asli. Tinjaulah kebenaran dari pernyataan berikut : 1 + 8 + 27 + 64 + ... + n 3 = ( 2 1 ​ n ( n + 1 ) ) 2 Nilai kebenaran dari pernyataan di atas adalah ...

Untuk setiap , dengan n adalah bilangan asli. Tinjaulah kebenaran dari pernyataan berikut :

Nilai kebenaran dari pernyataan di atas adalah ...

  1. Benar

  2. Salah

  3. Belum bisa ditentukan

  4. Tidak dapat disimpulkan

  5. Tidak ada jawaban

Ikuti Tryout SNBT & Menangkan E-Wallet 100rb

Habis dalam

01

:

01

:

36

:

38

Klaim

Iklan

I. Roy

Master Teacher

Mahasiswa/Alumni Universitas Negeri Surabaya

Jawaban terverifikasi

Pembahasan

Perdalam pemahamanmu bersama Master Teacher
di sesi Live Teaching, GRATIS!

1

Iklan

Pertanyaan serupa

Kebenaran dari pernyataan berikut adalah... 7 n − 3 n habis dibagi empat untuk semua bilangan asli n

1

5.0

Jawaban terverifikasi

RUANGGURU HQ

Jl. Dr. Saharjo No.161, Manggarai Selatan, Tebet, Kota Jakarta Selatan, Daerah Khusus Ibukota Jakarta 12860

Coba GRATIS Aplikasi Roboguru

Coba GRATIS Aplikasi Ruangguru

Download di Google PlayDownload di AppstoreDownload di App Gallery

Produk Ruangguru

Hubungi Kami

Ruangguru WhatsApp

+62 815-7441-0000

Email info@ruangguru.com

[email protected]

Contact 02130930000

02130930000

Ikuti Kami

©2026 Ruangguru. All Rights Reserved PT. Ruang Raya Indonesia