Iklan

Pertanyaan

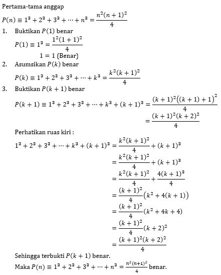
Apakah bisa dibuktikan dengan induksi matematis dan bagaimana cara membuktikannya : i = 1 ∑ n ​ i 3 = 1 3 + 2 3 + 3 3 + ... + n 3 = 4 n 2 ( n + 1 ) 2 ​

Apakah bisa dibuktikan dengan induksi matematis dan bagaimana cara membuktikannya :

  1. Terbukti

  2. Tidak Terbukti

Ikuti Tryout SNBT & Menangkan E-Wallet 100rb

Habis dalam

01

:

03

:

27

:

20

Klaim

Iklan

A. Nadhira

Master Teacher

Mahasiswa/Alumni Universitas Negeri Malang

Jawaban terverifikasi

Pembahasan

Perdalam pemahamanmu bersama Master Teacher
di sesi Live Teaching, GRATIS!

1

Iklan

Pertanyaan serupa

Kebenaran dari pernyataan berikut adalah... 7 n − 3 n habis dibagi empat untuk semua bilangan asli n

1

5.0

Jawaban terverifikasi

RUANGGURU HQ

Jl. Dr. Saharjo No.161, Manggarai Selatan, Tebet, Kota Jakarta Selatan, Daerah Khusus Ibukota Jakarta 12860

Coba GRATIS Aplikasi Roboguru

Coba GRATIS Aplikasi Ruangguru

Download di Google PlayDownload di AppstoreDownload di App Gallery

Produk Ruangguru

Hubungi Kami

Ruangguru WhatsApp

+62 815-7441-0000

Email info@ruangguru.com

[email protected]

Contact 02130930000

02130930000

Ikuti Kami

©2026 Ruangguru. All Rights Reserved PT. Ruang Raya Indonesia