Iklan

Pertanyaan

Tuliskan rumus struktur senyawa-senyawa berikut! a. Asam3-etil-2,3-dimetilheksanoat; b. Propil 2,3-dimetilpentanoat

Tuliskan rumus struktur senyawa-senyawa berikut!

a. Asam 3-etil-2,3-dimetilheksanoat;

b. Propil 2,3-dimetilpentanoatspaceundefined

Ikuti Tryout SNBT & Menangkan E-Wallet 100rb

Habis dalam

02

:

00

:

46

:

40

Klaim

Iklan

I. Solichah

Master Teacher

Jawaban terverifikasi

Pembahasan

Pembahasan
lock

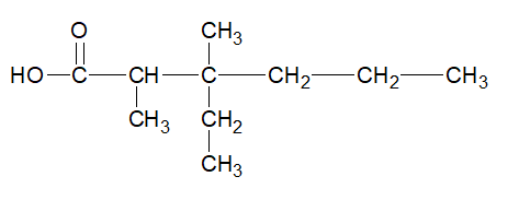
a. Asam3-etil-2,3-dimetilheksanoat Berdasarkan nama senyawa diatas dapat disimpulkan: Struktur senyawa memiliki gugus fungsi asam karboksilat (asam alkanoat) Rantai utama memiliki 6 atom karbon (heksanoat) Memiliki 3 cabang yaitu 1 cabang etil pada atom karbon nomor 3 dan 2 cabang metil pada atom karbon nomor 2 dan 3 b. Propil 2,3-dimetilpentanoat Berdasarkan nama senyawa diatas dapat disimpulkan: Struktur senyawa memiliki gugus fungsi ester (alkil alkanoat) Alkil berupa propil yaitu alkil dengan rantai 3 atom karbon Rantai utama (alkanoat) memiliki 5atom karbon (pentanoat) Memiliki 2cabang yaitu2 cabang metil pada atom karbon nomor 2 dan 3 Jadi, struktur untuk senyawaasam3-etil-2,3-dimetilheksanoat adalah: dan struktur untuk senyawapropil 2,3-dimetilpentanoat adalah:

a. Asam 3-etil-2,3-dimetilheksanoat

Berdasarkan nama senyawa diatas dapat disimpulkan:

  • Struktur senyawa memiliki gugus fungsi asam karboksilat (asam alkanoat)
  • Rantai utama memiliki 6 atom karbon (heksanoat)
  • Memiliki 3 cabang yaitu 1 cabang etil pada atom karbon nomor 3 dan 2 cabang metil pada atom karbon nomor 2 dan 3



 

b. Propil 2,3-dimetilpentanoatundefined

Berdasarkan nama senyawa diatas dapat disimpulkan:

  • Struktur senyawa memiliki gugus fungsi ester (alkil alkanoat)
  • Alkil berupa propil yaitu alkil dengan rantai 3 atom karbon
  • Rantai utama (alkanoat) memiliki 5 atom karbon (pentanoat)
  • Memiliki 2 cabang yaitu 2 cabang metil pada atom karbon nomor 2 dan 3



Jadi, struktur untuk senyawa asam 3-etil-2,3-dimetilheksanoat adalah:
 


dan struktur untuk senyawa propil 2,3-dimetilpentanoat adalah:


Perdalam pemahamanmu bersama Master Teacher
di sesi Live Teaching, GRATIS!

11

Lidia Prasetiani Uba lema

Pembahasan lengkap banget

Iklan

Pertanyaan serupa

Manakah senyawa yang tidak mengandung lima atom karbon….

1

0.0

Jawaban terverifikasi

RUANGGURU HQ

Jl. Dr. Saharjo No.161, Manggarai Selatan, Tebet, Kota Jakarta Selatan, Daerah Khusus Ibukota Jakarta 12860

Coba GRATIS Aplikasi Roboguru

Coba GRATIS Aplikasi Ruangguru

Download di Google PlayDownload di AppstoreDownload di App Gallery

Produk Ruangguru

Hubungi Kami

Ruangguru WhatsApp

+62 815-7441-0000

Email info@ruangguru.com

[email protected]

Contact 02130930000

02130930000

Ikuti Kami

©2026 Ruangguru. All Rights Reserved PT. Ruang Raya Indonesia