Iklan

Pertanyaan

Suatu gas ideal mula-mula menempati ruangan yang volumenya adalah V, tekanan P, dan suhu T. Apabila suhu gas menjadi 5/4 T dan volumenya menjadi 4 3 ​ V, maka tekanannya sekarang menjadi ….

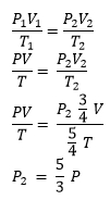
Suatu gas ideal mula-mula menempati ruangan yang volumenya adalah V, tekanan P, dan suhu T. Apabila suhu gas menjadi  5/4 T dan volumenya menjadi V, maka tekanannya sekarang menjadi ….

  1. 3/4 P

  2. 4/3 P

  3. 3/2 P

  4. 5/3 P

  5. 2 P

Ikuti Tryout SNBT & Menangkan E-Wallet 100rb

Habis dalam

01

:

21

:

01

:

22

Klaim

Iklan

R. Maiza

Master Teacher

Mahasiswa/Alumni Institut Teknologi Bandung

Jawaban terverifikasi

Jawaban

jawaban yang benar adalah D

jawaban yang benar adalah D

Pembahasan

Jadi, jawaban yang benar adalah D

Jadi, jawaban yang benar adalah D

Perdalam pemahamanmu bersama Master Teacher
di sesi Live Teaching, GRATIS!

1

Iklan

Pertanyaan serupa

Gas ideal dalam ruangan tertutup memiliki tekanan P, volume V, dan suhu T. Jika volumenya naik menjadi 2 kali dari semula. Lalu suhunya dinaikkan menjadi 4 kali semula. Maka tekanan gas dalam sistem t...

3

3.0

Jawaban terverifikasi

RUANGGURU HQ

Jl. Dr. Saharjo No.161, Manggarai Selatan, Tebet, Kota Jakarta Selatan, Daerah Khusus Ibukota Jakarta 12860

Coba GRATIS Aplikasi Roboguru

Coba GRATIS Aplikasi Ruangguru

Download di Google PlayDownload di AppstoreDownload di App Gallery

Produk Ruangguru

Hubungi Kami

Ruangguru WhatsApp

+62 815-7441-0000

Email info@ruangguru.com

[email protected]

Contact 02130930000

02130930000

Ikuti Kami

©2025 Ruangguru. All Rights Reserved PT. Ruang Raya Indonesia