Iklan
Pertanyaan
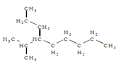
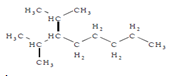
Senyawa berikut yang memiliki nama 2-metil-3-isopropiloktana adalah….





Iklan
I. Solichah
Master Teacher
7
5.0 (1 rating)
hanna
Pembahasan terpotong
Iklan
RUANGGURU HQ
Jl. Dr. Saharjo No.161, Manggarai Selatan, Tebet, Kota Jakarta Selatan, Daerah Khusus Ibukota Jakarta 12860
Produk Ruangguru
Bantuan & Panduan
Hubungi Kami
©2026 Ruangguru. All Rights Reserved PT. Ruang Raya Indonesia