Iklan
Pertanyaan
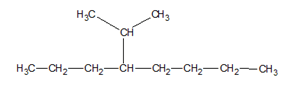
Apakah nama dari senyawa alkana di bawah ini....

4 - propil oktana
5 - propil oktana
4 - isopropil oktana
5 - isopropil oktana
2 – metil – 3 - propil heptana
Iklan
I. Solichah
Master Teacher
1
5.0 (1 rating)
Iklan
RUANGGURU HQ
Jl. Dr. Saharjo No.161, Manggarai Selatan, Tebet, Kota Jakarta Selatan, Daerah Khusus Ibukota Jakarta 12860
Produk Ruangguru
Bantuan & Panduan
Hubungi Kami
©2026 Ruangguru. All Rights Reserved PT. Ruang Raya Indonesia