Iklan

Pertanyaan

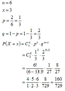
Sebuah dadu dilempar sebanyak 6 kali. Peluang muncul mata dadu bilangan prima kurang dari 5 sebanyak 3 kali adalah ....

Sebuah dadu dilempar sebanyak 6 kali. Peluang muncul mata dadu bilangan prima kurang dari 5 sebanyak 3 kali adalah ....

  1. 8 over 729

  2. 20 over 729

  3. 72 over 729

  4. 160 over 729

  5. 320 over 729

Ikuti Tryout SNBT & Menangkan E-Wallet 100rb

Habis dalam

02

:

02

:

53

:

42

Klaim

Iklan

N. Ayu

Master Teacher

Mahasiswa/Alumni Universitas Negeri Padang

Jawaban terverifikasi

Pembahasan

Perdalam pemahamanmu bersama Master Teacher
di sesi Live Teaching, GRATIS!

4

Iklan

Pertanyaan serupa

Sebuah koin dilemparkan 10 kali. Peluang muncul gambar sebanyak 6 kali adalah ....

3

4.3

Jawaban terverifikasi

RUANGGURU HQ

Jl. Dr. Saharjo No.161, Manggarai Selatan, Tebet, Kota Jakarta Selatan, Daerah Khusus Ibukota Jakarta 12860

Coba GRATIS Aplikasi Roboguru

Coba GRATIS Aplikasi Ruangguru

Download di Google PlayDownload di AppstoreDownload di App Gallery

Produk Ruangguru

Hubungi Kami

Ruangguru WhatsApp

+62 815-7441-0000

Email info@ruangguru.com

[email protected]

Contact 02130930000

02130930000

Ikuti Kami

©2026 Ruangguru. All Rights Reserved PT. Ruang Raya Indonesia