Iklan

Pertanyaan

Persamaan garis singgung hiperbola 9 x 2 ​ − 4 y 2 ​ = 1 yang bergradien 4 adalah

Persamaan garis singgung hiperbola  yang bergradien  adalah

  1. y equals 2 x plus-or-minus square root of 135

  2. y equals 3 x plus-or-minus square root of 150

  3. y equals 4 x plus-or-minus square root of 140

  4. y equals 6 x plus-or-minus square root of 157

  5. y equals 2 x plus-or-minus square root of 175

Ikuti Tryout SNBT & Menangkan E-Wallet 100rb

Habis dalam

00

:

04

:

50

:

26

Klaim

Iklan

A. Nadhira

Master Teacher

Mahasiswa/Alumni Universitas Negeri Malang

Jawaban terverifikasi

Pembahasan

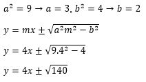
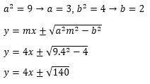
Hiperbola tersebut merupakan hiperbola horizontal, maka dari persamaan hiperbola tersebut didapat:

Hiperbola tersebut merupakan hiperbola horizontal, maka dari persamaan hiperbola tersebut didapat:

 

Perdalam pemahamanmu bersama Master Teacher
di sesi Live Teaching, GRATIS!

3

Amanda Deby febrina

Makasih ❤️

Iklan

Pertanyaan serupa

Titik fokus dari persamaan hiperbola 9 x 2 − 25 y 2 − 72 x − 250 y − 706 = 0 adalah…

7

0.0

Jawaban terverifikasi

RUANGGURU HQ

Jl. Dr. Saharjo No.161, Manggarai Selatan, Tebet, Kota Jakarta Selatan, Daerah Khusus Ibukota Jakarta 12860

Coba GRATIS Aplikasi Roboguru

Coba GRATIS Aplikasi Ruangguru

Download di Google PlayDownload di AppstoreDownload di App Gallery

Produk Ruangguru

Hubungi Kami

Ruangguru WhatsApp

+62 815-7441-0000

Email info@ruangguru.com

[email protected]

Contact 02130930000

02130930000

Ikuti Kami

©2026 Ruangguru. All Rights Reserved PT. Ruang Raya Indonesia