Iklan

Pertanyaan

Perhatikan pola berikut! Tentukan banyaknya lingkaran pada pola ke 6!

Perhatikan pola berikut!

Tentukan banyaknya lingkaran pada pola ke 6!

  1. 28

  2. 27

  3. 26

  4. 25

Ikuti Tryout SNBT & Menangkan E-Wallet 100rb

Habis dalam

02

:

19

:

45

:

20

Klaim

Iklan

N. Rahayu

Master Teacher

Mahasiswa/Alumni Universitas Negeri Jakarta

Jawaban terverifikasi

Pembahasan

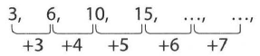
Jika diterjemahkan dalam bilangan, pola di atas sebagai berikut: 3, 6, 10, 15, .... Kelihatan polanya: Sehingga berturut-turut hingga pola ke-6: 3,6, 10, 15,21,28 Jadi pola ke-6 ada 28 lingkaran.

Jika diterjemahkan dalam bilangan, pola di atas sebagai berikut:
3, 6, 10, 15, ....
Kelihatan polanya:


Sehingga berturut-turut hingga pola
ke-6: 3,6, 10, 15,21,28
Jadi pola ke-6 ada 28 lingkaran.

Perdalam pemahamanmu bersama Master Teacher
di sesi Live Teaching, GRATIS!

3

Iraa Plara

Ini yang aku cari!

Ayshi khumaira

Mudah dimengerti

adelina Tiara Irawan

Ini yang aku cari!

Ayshi khumaira

Makasih ❤️

tadji wingit

Pembahasan tidak lengkap

Iklan

Pertanyaan serupa

Jika banyaknya koin yang disusun pada hari ke- n adalah ,maka susunan koin tersebut menggunakan pola ....

1

0.0

Jawaban terverifikasi

RUANGGURU HQ

Jl. Dr. Saharjo No.161, Manggarai Selatan, Tebet, Kota Jakarta Selatan, Daerah Khusus Ibukota Jakarta 12860

Coba GRATIS Aplikasi Roboguru

Coba GRATIS Aplikasi Ruangguru

Download di Google PlayDownload di AppstoreDownload di App Gallery

Produk Ruangguru

Hubungi Kami

Ruangguru WhatsApp

+62 815-7441-0000

Email info@ruangguru.com

[email protected]

Contact 02130930000

02130930000

Ikuti Kami

©2026 Ruangguru. All Rights Reserved PT. Ruang Raya Indonesia