Iklan

Pertanyaan

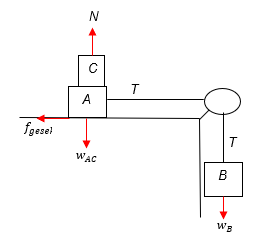
Perhatikan gambar berikut! Balok A dan B dengan massa masing-masing 8 kg dan 5 kg dihubungkan dengan tali melalui katrol seperti gambar. Koefisien gesekan statis dan kinetis antara balok dengan lantai adalah 0,5 dan 0,3 ( g = 10 m/s²). Balok C yang massanya 4 kg kemudian diletakkan di atas balok A , maka ....

Perhatikan gambar berikut!

Balok A dan B dengan massa masing-masing 8 kg dan 5 kg dihubungkan dengan tali melalui katrol seperti gambar. Koefisien gesekan statis dan kinetis antara balok dengan lantai adalah 0,5 dan 0,3 (g = 10 m/s²). Balok C yang massanya 4 kg kemudian diletakkan di atas balok A, maka ....

  1. tegangan tali sistem menjadi lebih kecil dari semulaundefined 

  2. tegangan tali sistem menjadi dua kali semulaundefined 

  3. sistem balok menjadi diamundefined 

  4. sistem balok bergerak dengan kecepatan setengah kali semula

  5. sistem balok bergerak dengan percepatan dua kali semulaundefined 

Ikuti Tryout SNBT & Menangkan E-Wallet 100rb

Habis dalam

02

:

07

:

06

:

47

Klaim

Iklan

D. Enty

Master Teacher

Jawaban terverifikasi

Jawaban

jawaban yang tepat adalah c.

jawaban yang tepat adalah c.

Pembahasan

Pembahasan
lock

Diketahui m A = 8 kg m B = 5 kg m C = 4 kg μ k = 0,3 μ s = 0,5 Penyelesaian Saat balok C diletakkan di atas balok A maka sistem menjadi: Mencari resultan gaya yang bekerja di sumbu y pada balok A dan C Agar tahu benda dalam keadaan diam atau bergerakcari dulu besar gaya gesek statis Besar gaya yang menyebabkan sistem bergerak Karena f s > w B maka sistemdalam keadaan diam. Jadi, jawaban yang tepat adalah c.

Diketahui
mA = 8 kg
mB = 5 kg
mC = 4 kg
μk = 0,3
μs = 0,5

Penyelesaian
Saat balok C diletakkan di atas balok A maka sistem menjadi:

Mencari resultan gaya yang bekerja di sumbu y pada balok A dan C
begin mathsize 14px style table attributes columnalign right center left columnspacing 0px end attributes row cell capital sigma F subscript y end cell equals 0 row cell N minus w subscript A C end subscript end cell equals 0 row N equals cell w subscript A C end subscript end cell row blank equals cell open parentheses m subscript A plus m subscript C close parentheses g end cell row blank equals cell open parentheses 8 plus 4 close parentheses 10 end cell row blank equals cell 120 space text N end text end cell end table end style 

Agar tahu benda dalam keadaan diam atau bergerak cari dulu besar gaya gesek statis
begin mathsize 14px style table attributes columnalign right center left columnspacing 0px end attributes row cell f subscript s end cell equals cell mu subscript s N end cell row blank equals cell open parentheses 0 comma 5 close parentheses open parentheses 120 close parentheses end cell row blank equals cell 60 space text N end text end cell end table end style 

Besar gaya yang menyebabkan sistem bergerak
begin mathsize 14px style table attributes columnalign right center left columnspacing 0px end attributes row F equals cell w subscript B end cell row blank equals cell m subscript B g end cell row blank equals cell 5 times 10 end cell row blank equals cell 50 space text N end text end cell end table end style 

Karena fs>wB maka sistem dalam keadaan diam.

Jadi, jawaban yang tepat adalah c.

Perdalam pemahamanmu bersama Master Teacher
di sesi Live Teaching, GRATIS!

1

M. Zensen Johana

Bantu banget Ini yang aku cari!

Iklan

Pertanyaan serupa

Sebuah benda bermassa 5 kg ( g = 10 m . s − 2 ) digantungkan dengan seutas tali. Tentukanlah gaya tegangan tali pada saat sistem bergerak ke atas dengn percepatan 5 m . s − 2 !

3

4.5

Jawaban terverifikasi

RUANGGURU HQ

Jl. Dr. Saharjo No.161, Manggarai Selatan, Tebet, Kota Jakarta Selatan, Daerah Khusus Ibukota Jakarta 12860

Coba GRATIS Aplikasi Roboguru

Coba GRATIS Aplikasi Ruangguru

Download di Google PlayDownload di AppstoreDownload di App Gallery

Produk Ruangguru

Hubungi Kami

Ruangguru WhatsApp

+62 815-7441-0000

Email info@ruangguru.com

[email protected]

Contact 02130930000

02130930000

Ikuti Kami

©2026 Ruangguru. All Rights Reserved PT. Ruang Raya Indonesia