Iklan

Pertanyaan

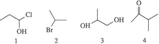
Molekul di atas yang bersifat optis aktif adalah...

Molekul di atas yang bersifat optis aktif adalah...

  1. 1, 2

  2. 1, 3

  3. 1, 4

  4. 2, 3

  5. 3, 4

Ikuti Tryout SNBT & Menangkan E-Wallet 100rb

Habis dalam

02

:

18

:

34

:

30

Klaim

Iklan

S. Lubis

Master Teacher

Mahasiswa/Alumni Universitas Sumatera Utara

Jawaban terverifikasi

Pembahasan

Isomer optis aktif adalah isomer yang terjadi pada atom C kiral, atom C kiral adalah atom C yang ke-empat elektron valensi nya berikatan dengan atom yang berbeda.

Isomer optis aktif adalah isomer yang terjadi pada atom C kiral, atom C kiral adalah atom C yang ke-empat elektron valensi nya berikatan dengan atom yang berbeda. 

Perdalam pemahamanmu bersama Master Teacher
di sesi Live Teaching, GRATIS!

2

Catherine Tesalonika

Makasih ❤️

Iklan

Pertanyaan serupa

Manakah dari senyawa di atas yang bersifat optis aktif?

2

0.0

Jawaban terverifikasi

RUANGGURU HQ

Jl. Dr. Saharjo No.161, Manggarai Selatan, Tebet, Kota Jakarta Selatan, Daerah Khusus Ibukota Jakarta 12860

Coba GRATIS Aplikasi Roboguru

Coba GRATIS Aplikasi Ruangguru

Download di Google PlayDownload di AppstoreDownload di App Gallery

Produk Ruangguru

Hubungi Kami

Ruangguru WhatsApp

+62 815-7441-0000

Email info@ruangguru.com

[email protected]

Contact 02130930000

02130930000

Ikuti Kami

©2026 Ruangguru. All Rights Reserved PT. Ruang Raya Indonesia