Iklan
Pertanyaan
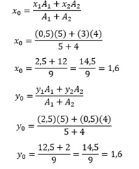
Koordinat titik berat dari potongan gambar di bawah sebesar .…

(1 ; 1)
(1,5 ; 3,0)
(1,6 ; 1,6)
(2,4 ; 5,0)
(4,3 ; 2,2)
Iklan
R. Amalia
Master Teacher
Mahasiswa/Alumni Universitas Padjadjaran
3
5.0 (1 rating)
Iklan
RUANGGURU HQ
Jl. Dr. Saharjo No.161, Manggarai Selatan, Tebet, Kota Jakarta Selatan, Daerah Khusus Ibukota Jakarta 12860
Produk Ruangguru
Bantuan & Panduan
Hubungi Kami
©2026 Ruangguru. All Rights Reserved PT. Ruang Raya Indonesia