Iklan

Pertanyaan

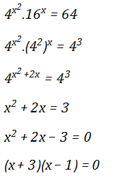
Jika x memenuhi persamaan 4 x 2 .1 6 x = 64 , maka nilai x yang memenuhi adalah

Jika x memenuhi persamaan , maka nilai x yang memenuhi adalah

  1. 1

  2. 2

  3. 3

  4. 4

  5. 5

Ikuti Tryout SNBT & Menangkan E-Wallet 100rb

Habis dalam

01

:

19

:

23

:

18

Klaim

Iklan

R. RGFLLIMA

Master Teacher

Jawaban terverifikasi

Pembahasan

Didapat nilai x yang memenuhi adalah x = -3 atau x = 1

Didapat nilai x yang memenuhi adalah x = -3 atau x = 1

Perdalam pemahamanmu bersama Master Teacher
di sesi Live Teaching, GRATIS!

1

Iklan

Pertanyaan serupa

Jika x memenuhi persamaan 8 2 x ​ = 1 6 3 x − 2 , maka nilai x adalah

1

3.0

Jawaban terverifikasi

RUANGGURU HQ

Jl. Dr. Saharjo No.161, Manggarai Selatan, Tebet, Kota Jakarta Selatan, Daerah Khusus Ibukota Jakarta 12860

Coba GRATIS Aplikasi Roboguru

Coba GRATIS Aplikasi Ruangguru

Download di Google PlayDownload di AppstoreDownload di App Gallery

Produk Ruangguru

Hubungi Kami

Ruangguru WhatsApp

+62 815-7441-0000

Email info@ruangguru.com

[email protected]

Contact 02130930000

02130930000

Ikuti Kami

©2025 Ruangguru. All Rights Reserved PT. Ruang Raya Indonesia