Iklan

Pertanyaan

Hasil penjumlahan dari 9 ( 3 1 ​ a 3 + 2 a 2 + a − 3 1 ​ ) dan 20 ( 4 3 ​ − a + 2 a 2 − 4 1 ​ a 3 ) adalah ....

Hasil penjumlahan dari  dan  adalah ....

  1. undefined 

  2. Error converting from MathML to accessible text. 

  3. Error converting from MathML to accessible text. 

  4. Error converting from MathML to accessible text. 

Ikuti Tryout SNBT & Menangkan E-Wallet 100rb

Habis dalam

01

:

14

:

06

:

40

Klaim

Iklan

M. Robo

Master Teacher

Jawaban terverifikasi

Jawaban

jawaban yang tepat adalah A.

jawaban yang tepat adalah A.

Pembahasan

Perhatikan bahwa dan Oleh karena itu, hasil penjumlahan dari dan sama saja dengan hasil penjumlahan dari dan ,yaitu . Dengan penjumlahan bersusun, maka diperoleh Dengan demikian, hasil penjumlahan dari dan adalah . Jadi, jawaban yang tepat adalah A.

Perhatikan bahwa

begin mathsize 14px style table attributes columnalign right center left columnspacing 0px end attributes row blank blank 9 end table table attributes columnalign right center left columnspacing 0px end attributes row blank blank cell open parentheses 1 third straight a cubed plus 2 straight a squared plus straight a minus 1 third close parentheses end cell end table table attributes columnalign right center left columnspacing 0px end attributes row blank equals blank end table table attributes columnalign right center left columnspacing 0px end attributes row blank blank cell 9 open parentheses 1 third straight a cubed close parentheses plus 9 open parentheses 2 straight a squared close parentheses plus 9 left parenthesis straight a right parenthesis minus 9 open parentheses 1 third close parentheses end cell end table table attributes columnalign right center left columnspacing 0px end attributes row blank equals blank end table table attributes columnalign right center left columnspacing 0px end attributes row blank blank 3 end table table attributes columnalign right center left columnspacing 0px end attributes row blank blank straight a end table table attributes columnalign right center left columnspacing 0px end attributes row blank blank cell blank cubed end cell end table table attributes columnalign right center left columnspacing 0px end attributes row blank blank plus end table table attributes columnalign right center left columnspacing 0px end attributes row blank blank 18 end table table attributes columnalign right center left columnspacing 0px end attributes row blank blank straight a end table table attributes columnalign right center left columnspacing 0px end attributes row blank blank cell blank squared end cell end table table attributes columnalign right center left columnspacing 0px end attributes row blank blank plus end table table attributes columnalign right center left columnspacing 0px end attributes row blank blank 9 end table table attributes columnalign right center left columnspacing 0px end attributes row blank blank straight a end table table attributes columnalign right center left columnspacing 0px end attributes row blank blank minus end table table attributes columnalign right center left columnspacing 0px end attributes row blank blank 3 end table end style 

dan

begin mathsize 14px style 20 open parentheses 3 over 4 minus straight a plus 2 straight a squared minus 1 fourth straight a cubed close parentheses equals 20 open parentheses 3 over 4 close parentheses minus 20 straight a plus 20 open parentheses 2 straight a squared close parentheses minus 20 open parentheses 1 fourth straight a cubed close parentheses equals 15 minus 20 straight a plus 40 straight a squared minus 5 straight a cubed end style 

Oleh karena itu, hasil penjumlahan dari begin mathsize 14px style 9 open parentheses 1 third straight a cubed plus 2 straight a squared plus straight a minus 1 third close parentheses end style dan begin mathsize 14px style 20 open parentheses 3 over 4 minus straight a plus 2 straight a squared minus 1 fourth straight a cubed close parentheses end style sama saja dengan hasil penjumlahan dari begin mathsize 14px style open parentheses 3 straight a cubed plus 18 straight a squared plus 9 straight a minus 3 close parentheses end style dan begin mathsize 14px style open parentheses 15 minus 20 straight a plus 40 straight a squared minus 5 straight a cubed close parentheses end style, yaitu

begin mathsize 14px style open parentheses 3 straight a cubed plus 18 straight a squared plus 9 straight a minus 3 close parentheses plus open parentheses 15 minus 20 straight a plus 40 straight a squared minus 5 straight a cubed close parentheses end style.

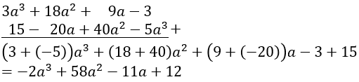
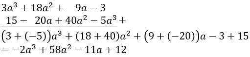
Dengan penjumlahan bersusun, maka diperoleh

 

Dengan demikian, hasil penjumlahan dari begin mathsize 14px style 9 open parentheses 1 third straight a cubed plus 2 straight a squared plus straight a minus 1 third close parentheses end style dan begin mathsize 14px style 20 open parentheses 3 over 4 minus straight a plus 2 straight a squared minus 1 fourth straight a cubed close parentheses end style adalah begin mathsize 14px style negative 2 straight a cubed plus 58 straight a squared minus 11 straight a plus 12 end style.

Jadi, jawaban yang tepat adalah A.

Perdalam pemahamanmu bersama Master Teacher
di sesi Live Teaching, GRATIS!

1

Iklan

Pertanyaan serupa

Hasil pengurangan 6 ( 3 2 ​ a 3 − a 2 − 2 a + 3 1 ​ ) dari 10 ( 5 3 ​ + 10 1 ​ a − 3 a 2 − 10 3 ​ a 3 ) adalah ....

1

0.0

Jawaban terverifikasi

RUANGGURU HQ

Jl. Dr. Saharjo No.161, Manggarai Selatan, Tebet, Kota Jakarta Selatan, Daerah Khusus Ibukota Jakarta 12860

Coba GRATIS Aplikasi Roboguru

Coba GRATIS Aplikasi Ruangguru

Download di Google PlayDownload di AppstoreDownload di App Gallery

Produk Ruangguru

Hubungi Kami

Ruangguru WhatsApp

+62 815-7441-0000

Email info@ruangguru.com

[email protected]

Contact 02130930000

02130930000

Ikuti Kami

©2026 Ruangguru. All Rights Reserved PT. Ruang Raya Indonesia