Iklan

Pertanyaan

Hasil pengurangan 6 ( 3 2 ​ a 3 − a 2 − 2 a + 3 1 ​ ) dari 10 ( 5 3 ​ + 10 1 ​ a − 3 a 2 − 10 3 ​ a 3 ) adalah ....

Hasil pengurangan  dari  adalah ....

  1. begin mathsize 14px style negative 7 straight a cubed minus 24 straight a squared minus 11 straight a plus 8 end style 

  2. begin mathsize 14px style straight a cubed minus 24 straight a squared minus 11 straight a plus 4 end style 

  3. begin mathsize 14px style negative 7 straight a cubed minus 24 straight a squared plus 13 straight a plus 4 end style 

  4. begin mathsize 14px style straight a cubed minus 24 straight a squared plus 13 straight a plus 8 end style 

Ikuti Tryout SNBT & Menangkan E-Wallet 100rb

Habis dalam

01

:

13

:

20

:

44

Klaim

Iklan

M. Robo

Master Teacher

Jawaban terverifikasi

Jawaban

jawaban yang tepat adalah C.

jawaban yang tepat adalah C.

Pembahasan

Dengan menggunakan sifat distributif maka diperoleh, dan Oleh karena itu, hasil pengurangan dari , dapat ditulis sebagai berikut. Dengan pengurangan bersusun, didapat bahwa Dengan demikian, hasil pengurangannyaadalah atau . Jadi, jawaban yang tepat adalah C.

Dengan menggunakan sifat distributif maka diperoleh,

begin mathsize 14px style 6 open parentheses 2 over 3 straight a cubed minus straight a squared minus 2 straight a plus 1 third close parentheses equals 6 open parentheses 2 over 3 straight a cubed close parentheses minus 6 open parentheses straight a squared close parentheses minus 6 left parenthesis 2 straight a right parenthesis plus 6 open parentheses 1 third close parentheses equals 4 straight a cubed minus 6 straight a squared minus 12 straight a plus 2 end style  

dan

begin mathsize 14px style 10 open parentheses 3 over 5 plus 1 over 10 straight a minus 3 straight a squared minus 3 over 10 straight a cubed close parentheses equals 10 open parentheses 3 over 5 close parentheses plus 10 open parentheses 1 over 10 straight a close parentheses minus 10 left parenthesis 3 straight a squared right parenthesis minus 10 open parentheses 3 over 10 straight a cubed close parentheses equals 6 plus straight a minus 30 straight a squared minus 3 straight a cubed end style   

Oleh karena itu, hasil pengurangan begin mathsize 14px style 6 open parentheses 2 over 3 straight a cubed minus straight a squared minus 2 straight a plus 1 third close parentheses end style dari begin mathsize 14px style 10 open parentheses 3 over 5 plus 1 over 10 straight a minus 3 straight a squared minus 3 over 10 straight a cubed close parentheses end style, dapat ditulis sebagai berikut.

begin mathsize 14px style 10 open parentheses 3 over 5 plus 1 over 10 straight a minus 3 straight a squared minus 3 over 10 straight a cubed close parentheses minus 6 open parentheses 2 over 3 straight a cubed minus straight a squared minus 2 straight a plus 1 third close parentheses equals open parentheses 6 plus straight a minus 30 straight a squared minus 3 straight a cubed close parentheses minus open parentheses 4 straight a cubed minus 6 straight a squared minus 12 straight a plus 2 close parentheses end style  

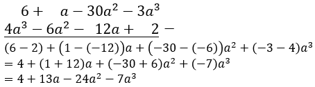
Dengan pengurangan bersusun, didapat bahwa

Dengan demikian, hasil pengurangannya adalah begin mathsize 14px style 4 plus 13 straight a minus 24 straight a squared minus 7 straight a cubed end style atau begin mathsize 14px style negative 7 straight a cubed minus 24 straight a squared plus 13 straight a plus 4 end style.

Jadi, jawaban yang tepat adalah C.

Perdalam pemahamanmu bersama Master Teacher
di sesi Live Teaching, GRATIS!

1

Iklan

Pertanyaan serupa

Hasil penjumlahan dari 9 ( 3 1 ​ a 3 + 2 a 2 + a − 3 1 ​ ) dan 20 ( 4 3 ​ − a + 2 a 2 − 4 1 ​ a 3 ) adalah ....

1

5.0

Jawaban terverifikasi

RUANGGURU HQ

Jl. Dr. Saharjo No.161, Manggarai Selatan, Tebet, Kota Jakarta Selatan, Daerah Khusus Ibukota Jakarta 12860

Coba GRATIS Aplikasi Roboguru

Coba GRATIS Aplikasi Ruangguru

Download di Google PlayDownload di AppstoreDownload di App Gallery

Produk Ruangguru

Hubungi Kami

Ruangguru WhatsApp

+62 815-7441-0000

Email info@ruangguru.com

[email protected]

Contact 02130930000

02130930000

Ikuti Kami

©2026 Ruangguru. All Rights Reserved PT. Ruang Raya Indonesia