Iklan

Pertanyaan

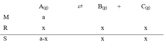
Gas A terdisosiasi pada suhu tertentu menurut reaksi A ( g ) ​ ↔ B ( g ) ​ + C ( g ) ​ .Jika tekanan total dalam keadaan setimbang nilainya p, dan tekanan parsial gas A pada kesetimbangan nilainya 7 1 ​ dari tekanan total, maka harga K p ​ pada temperatur tersebut adalah ....

Gas A terdisosiasi pada suhu tertentu menurut reaksi . Jika tekanan total dalam keadaan setimbang nilainya p, dan tekanan parsial gas A pada kesetimbangan nilainya  dari tekanan total, maka harga  pada temperatur tersebut adalah ....    

  1.   

  2.   

  3.   

  4. p   

  5.    

Ikuti Tryout SNBT & Menangkan E-Wallet 100rb

Habis dalam

02

:

15

:

52

:

36

Klaim

Iklan

A. Askariawati

Master Teacher

Mahasiswa/Alumni Universitas Sebelas Maret

Jawaban terverifikasi

Pembahasan

Jawaban yang paling tepat adalah opsi E. Konstanta kesetimbangan tekanan K p ​ adalah perbandingan tekanan parsial produk dengan tekanan parsial pereaksi dikalikan koefisiennya masing-masing. Reaksi A ( g ) ​ ↔ B ( g ) ​ + C ( g ) ​ memiliki harga K p ​ = P A ​ P B ​ × P C ​ ​ . Jika asumsi gas A yang tersedia adalah a dan yang bereaksi adalah x maka : n total = a − x + x + x n total = a + x P A ​ = a + x a − x ​ × p 7 1 ​ p = a + x a − x ​ × p a + x = 7 a − 7 x 8 x = 6 a x = 4 3 ​ a a − x = 7 1 ​ a − 4 3 ​ a = 7 1 ​ 4 1 ​ a = 7 1 ​ a = 7 4 ​ x = 4 3 ​ a x = 4 3 ​ × 7 4 ​ x = 7 3 ​ A = 7 1 ​ mol B = C = 7 3 ​ mol P A ​ = 7 1 ​ p P B ​ = P C ​ = 7 3 ​ p K p ​ = 7 1 ​ p 7 3 ​ p × 7 3 ​ p ​ K p ​ = 7 1 ​ p 49 9 ​ p 2 ​ K p ​ = 49 9 ​ p × 1 7 ​ K p ​ = 7 9 ​ p

Jawaban yang paling tepat adalah opsi E.


Konstanta kesetimbangan tekanan  adalah perbandingan tekanan parsial produk dengan tekanan parsial pereaksi dikalikan koefisiennya masing-masing. Reaksi  memiliki harga .  Jika asumsi gas A yang tersedia adalah a dan yang bereaksi adalah x maka :   



 

Perdalam pemahamanmu bersama Master Teacher
di sesi Live Teaching, GRATIS!

1

afifah herliana

Jawaban tidak sesuai

Iklan

Pertanyaan serupa

Pada industri pembuatan pupuk urea membutuhkan amoniak ( NH 3 ​ ) sebagai bahan dasar, yang diperoleh dari reaksi kesetimbangan: N 2 ​ ( g ) + 3 H 2 ​ ( g ) ⇄ 2 NH 3 ​ ( g ) △ H = − 92 kJ . P...

4

4.0

Jawaban terverifikasi

RUANGGURU HQ

Jl. Dr. Saharjo No.161, Manggarai Selatan, Tebet, Kota Jakarta Selatan, Daerah Khusus Ibukota Jakarta 12860

Coba GRATIS Aplikasi Roboguru

Coba GRATIS Aplikasi Ruangguru

Download di Google PlayDownload di AppstoreDownload di App Gallery

Produk Ruangguru

Hubungi Kami

Ruangguru WhatsApp

+62 815-7441-0000

Email info@ruangguru.com

[email protected]

Contact 02130930000

02130930000

Ikuti Kami

©2026 Ruangguru. All Rights Reserved PT. Ruang Raya Indonesia