Iklan

Pertanyaan

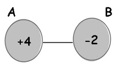
Dua buah bola konduktor yang sama besa dan bermuatan listrik dihubungkan dengan kawat sreperti pada gambar. Yang akan terjadi adalah....

Dua buah bola konduktor yang sama besa dan bermuatan listrik dihubungkan dengan kawat sreperti pada gambar.

Yang akan terjadi adalah....space 

  1. semua muatan positif dari A pindah ke Bspace 

  2. semua muatan negatif dari B pindah ke Aspace 

  3. muatan positif dari A pindah ke B sampai muatan keduanya seimbangspace 

  4. muatan negatif dari B pindah ke A sampai muatan keduanya seimbangspace 

Ikuti Tryout SNBT & Menangkan E-Wallet 100rb

Habis dalam

01

:

18

:

58

:

56

Klaim

Iklan

O. Salu

Master Teacher

Mahasiswa/Alumni Universitas Sam Ratulangi

Jawaban terverifikasi

Jawaban

jawaban yang tepat adalah D.

jawaban yang tepat adalah D.

Pembahasan

Muatan yang dapat berpindah dari satu atom ke atom lain adalah elektron atau muatan negatif, maka muatan negatif dari B pindah ke A sampai muatan keduanya seimbang. Jadi, jawaban yang tepat adalah D.

Muatan yang dapat berpindah dari satu atom ke atom lain adalah elektron atau muatan negatif, maka muatan negatif dari B pindah ke A sampai muatan keduanya seimbang.

Jadi, jawaban yang tepat adalah D.

Perdalam pemahamanmu bersama Master Teacher
di sesi Live Teaching, GRATIS!

38

Idk

Ini yang aku cari!

Umi Salma Widyadana

Mudah dimengerti

Nurrachma Danty

Makasih ❤️

Fanhaz Izar

Jawaban tidak sesuai

Iklan

Pertanyaan serupa

Jika di dalam suatu benda terdapat keseimbangan antara jumlah proton dengan jumlah elektron, maka benda tersebut...

4

5.0

Jawaban terverifikasi

RUANGGURU HQ

Jl. Dr. Saharjo No.161, Manggarai Selatan, Tebet, Kota Jakarta Selatan, Daerah Khusus Ibukota Jakarta 12860

Coba GRATIS Aplikasi Roboguru

Coba GRATIS Aplikasi Ruangguru

Download di Google PlayDownload di AppstoreDownload di App Gallery

Produk Ruangguru

Hubungi Kami

Ruangguru WhatsApp

+62 815-7441-0000

Email info@ruangguru.com

[email protected]

Contact 02130930000

02130930000

Ikuti Kami

©2026 Ruangguru. All Rights Reserved PT. Ruang Raya Indonesia