Iklan

Pertanyaan

Diketahui kubus ABCD.EFGH dengan rusuk 4 cm. Jika titik P, Q, R, dan S masing-masing adalah titik tengah dari rusuk AB, BC, EH, dan GH maka jarak dari garis PQ ke bidang DRS adalah…

Diketahui kubus ABCD.EFGH dengan rusuk 4 cm. Jika titik P, Q, R, dan S masing-masing adalah titik tengah dari rusuk AB, BC, EH, dan GH maka jarak dari garis PQ ke bidang DRS adalah…

  1. 2 space c m

  2. 2 square root of 2 space c m

  3. 3 square root of 2 space c m

  4. 4 cm

  5. 4 square root of 2 space c m

Ikuti Tryout SNBT & Menangkan E-Wallet 100rb

Habis dalam

01

:

07

:

36

:

28

Klaim

Iklan

A. C

Master Teacher

Jawaban terverifikasi

Pembahasan

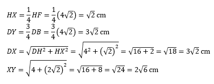
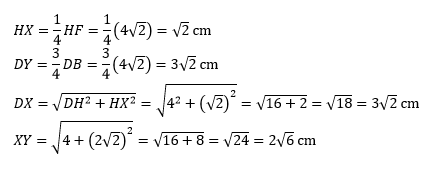
Jarak garis PQ ke bidang DRS = jarak garis PQ ke garis DX = panjang garis YZ

Jarak garis PQ ke bidang DRS = jarak garis PQ ke garis DX = panjang garis YZ

 

Perdalam pemahamanmu bersama Master Teacher
di sesi Live Teaching, GRATIS!

3

Siti Suhaemi

Jawaban tidak sesuai

Iklan

Pertanyaan serupa

Pada kubus ABCD.EFGH dengan panjang rusuk 6 cm, titik P, Q dan R masing – masing terletak di tengah rusuk BC, AD dan EH. Jarak dari garis HP ke bidang FBQR adalah…

1

5.0

Jawaban terverifikasi

RUANGGURU HQ

Jl. Dr. Saharjo No.161, Manggarai Selatan, Tebet, Kota Jakarta Selatan, Daerah Khusus Ibukota Jakarta 12860

Coba GRATIS Aplikasi Roboguru

Coba GRATIS Aplikasi Ruangguru

Download di Google PlayDownload di AppstoreDownload di App Gallery

Produk Ruangguru

Hubungi Kami

Ruangguru WhatsApp

+62 815-7441-0000

Email info@ruangguru.com

[email protected]

Contact 02130930000

02130930000

Ikuti Kami

©2026 Ruangguru. All Rights Reserved PT. Ruang Raya Indonesia