Iklan

Pertanyaan

Diketahui kubus ABCD.EFGH dengan rusuk 4 cm. Jika titik P adalah titik tengah AB dan titik Q adalah titik tengah BC, maka jarak garis PQ ke garis EG adalah…

Diketahui kubus ABCD.EFGH dengan rusuk 4 cm. Jika titik P adalah titik tengah AB dan titik Q adalah titik tengah BC, maka jarak garis PQ ke garis EG adalah…

  1. 2 square root of 2 space space c m

  2. 3 square root of 2 space space c m

  3. 4 square root of 2 space space c m

  4. 2 square root of 3 space space c m

  5. 3 square root of 3 space space c m

Ikuti Tryout SNBT & Menangkan E-Wallet 100rb

Habis dalam

02

:

22

:

32

:

32

Klaim

Iklan

A. C

Master Teacher

Jawaban terverifikasi

Pembahasan

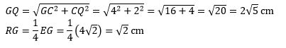
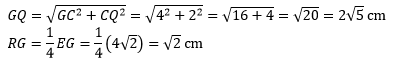
Dari gambar dapat dilihat jarak garis PQ ke garis EG adalah panjang garis XY. Untuk mempermudah perhitungan kita buat garis sejajar dengan XY yaitu garis RQ. Dengan menggunakan segitiga RQG (siku-siku di R), dapat diperoleh

Dari gambar dapat dilihat jarak garis PQ ke garis EG adalah panjang garis XY. Untuk mempermudah perhitungan kita buat garis sejajar dengan XY yaitu garis RQ.


Dengan menggunakan segitiga RQG (siku-siku di R), dapat diperoleh

Perdalam pemahamanmu bersama Master Teacher
di sesi Live Teaching, GRATIS!

1

Siti Harum Mawati

Pembahasan terpotong

Iklan

Pertanyaan serupa

Pada kubus ABCD.EFGH dengan panjang rusuk 6 cm , jika titik P berada di tengah HF dan titik Q berada di tengah AC, maka jarak AP ke GQ adalah…

6

5.0

Jawaban terverifikasi

RUANGGURU HQ

Jl. Dr. Saharjo No.161, Manggarai Selatan, Tebet, Kota Jakarta Selatan, Daerah Khusus Ibukota Jakarta 12860

Coba GRATIS Aplikasi Roboguru

Coba GRATIS Aplikasi Ruangguru

Download di Google PlayDownload di AppstoreDownload di App Gallery

Produk Ruangguru

Hubungi Kami

Ruangguru WhatsApp

+62 815-7441-0000

Email info@ruangguru.com

[email protected]

Contact 02130930000

02130930000

Ikuti Kami

©2026 Ruangguru. All Rights Reserved PT. Ruang Raya Indonesia