Iklan

Pertanyaan

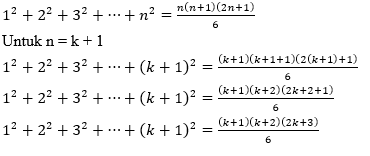
Diketahui i =1 n i 2 = 1 2 + 2 2 + 3 2 +…+ n 2 = n n +1 2 n +1 6 benar untuk n = k + 1 n = k + 1 . Pernyataan diatas dapat ditulis sebagai …

Diketahui sum subscript i equals 1 end subscript superscript n i squared equals 1 squared plus 2 squared plus 3 squared plus horizontal ellipsis plus n squared equals fraction numerator n open parentheses n plus 1 close parentheses open parentheses 2 n plus 1 close parentheses over denominator 6 end fraction benar untuk . Pernyataan diatas dapat ditulis sebagai …

  1. 1 squared plus 2 squared plus 3 squared plus horizontal ellipsis plus open parentheses k plus 1 close parentheses squared equals fraction numerator open parentheses k plus 1 close parentheses squared open parentheses 2 k plus 3 close parentheses over denominator 6 end fraction

  2. 1 squared plus 2 squared plus 3 squared plus horizontal ellipsis plus open parentheses k plus 1 close parentheses squared equals fraction numerator open parentheses k plus 1 close parentheses open parentheses k plus 2 close parentheses open parentheses k plus 3 close parentheses over denominator 6 end fraction

  3. 1 squared plus 2 squared plus 3 squared plus horizontal ellipsis plus open parentheses k plus 1 close parentheses squared equals fraction numerator open parentheses k plus 1 close parentheses open parentheses k plus 2 close parentheses open parentheses 2 k plus 3 close parentheses over denominator 6 end fraction

  4. 1 squared plus 2 squared plus 3 squared plus horizontal ellipsis plus k squared equals fraction numerator open parentheses k close parentheses open parentheses k plus 1 close parentheses open parentheses 2 k plus 1 close parentheses over denominator 6 end fraction

  5. 1 squared plus 2 squared plus 3 squared plus horizontal ellipsis plus open parentheses k plus 1 close parentheses squared equals fraction numerator open parentheses k plus 1 close parentheses open parentheses k plus 1 close parentheses open parentheses 2 k plus 1 close parentheses over denominator 6 end fraction

Ikuti Tryout SNBT & Menangkan E-Wallet 100rb

Habis dalam

02

:

03

:

04

:

30

Klaim

Iklan

M. Nizar

Master Teacher

Mahasiswa/Alumni Universitas Siliwangi

Jawaban terverifikasi

Pembahasan

Perdalam pemahamanmu bersama Master Teacher
di sesi Live Teaching, GRATIS!

1

M. ARIF PRATAMA

Jawaban tidak sesuai

Iklan

Pertanyaan serupa

Dengan menggunakan rumus 1+2+3+4+…+ n = n n +1 2 , maka nilai dari 1+2+3+4+…+100=… 1 + 2 + 3 + 4 + ⋯ + 100 = …

1

5.0

Jawaban terverifikasi

RUANGGURU HQ

Jl. Dr. Saharjo No.161, Manggarai Selatan, Tebet, Kota Jakarta Selatan, Daerah Khusus Ibukota Jakarta 12860

Coba GRATIS Aplikasi Roboguru

Coba GRATIS Aplikasi Ruangguru

Download di Google PlayDownload di AppstoreDownload di App Gallery

Produk Ruangguru

Hubungi Kami

Ruangguru WhatsApp

+62 815-7441-0000

Email info@ruangguru.com

[email protected]

Contact 02130930000

02130930000

Ikuti Kami

©2025 Ruangguru. All Rights Reserved PT. Ruang Raya Indonesia