Iklan

Pertanyaan

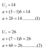
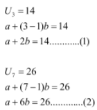
Dari barisan aritmetika diketahui suku ke-3 adalah 14 dan suku ke-7 adalah 26. Jumlah 18 suku pertama adalah....

Dari barisan aritmetika diketahui suku ke-3 adalah 14 dan suku ke-7 adalah 26. Jumlah 18 suku pertama adalah....

  1. 512

  2. 576

  3. 603

  4. 639

Ikuti Tryout SNBT & Menangkan E-Wallet 100rb

Habis dalam

02

:

20

:

22

:

39

Klaim

Iklan

S. Intan

Master Teacher

Mahasiswa/Alumni Institut Pertanian Bogor

Jawaban terverifikasi

Pembahasan

Eliminasi persamaan (1) dan (2)

Eliminasi persamaan (1) dan (2)

Perdalam pemahamanmu bersama Master Teacher
di sesi Live Teaching, GRATIS!

18

Iklan

Pertanyaan serupa

Diketahui barisan aritmetika dengan U 4 ​ = 20 dan U 8 ​ = 44 . Suku ke-40 baris itu adalah….

2

0.0

Jawaban terverifikasi

RUANGGURU HQ

Jl. Dr. Saharjo No.161, Manggarai Selatan, Tebet, Kota Jakarta Selatan, Daerah Khusus Ibukota Jakarta 12860

Coba GRATIS Aplikasi Roboguru

Coba GRATIS Aplikasi Ruangguru

Download di Google PlayDownload di AppstoreDownload di App Gallery

Produk Ruangguru

Hubungi Kami

Ruangguru WhatsApp

+62 815-7441-0000

Email info@ruangguru.com

[email protected]

Contact 02130930000

02130930000

Ikuti Kami

©2025 Ruangguru. All Rights Reserved PT. Ruang Raya Indonesia