Zhafirah A

29 September 2024 08:27
Iklan
Zhafirah A

29 September 2024 08:27
Pertanyaan
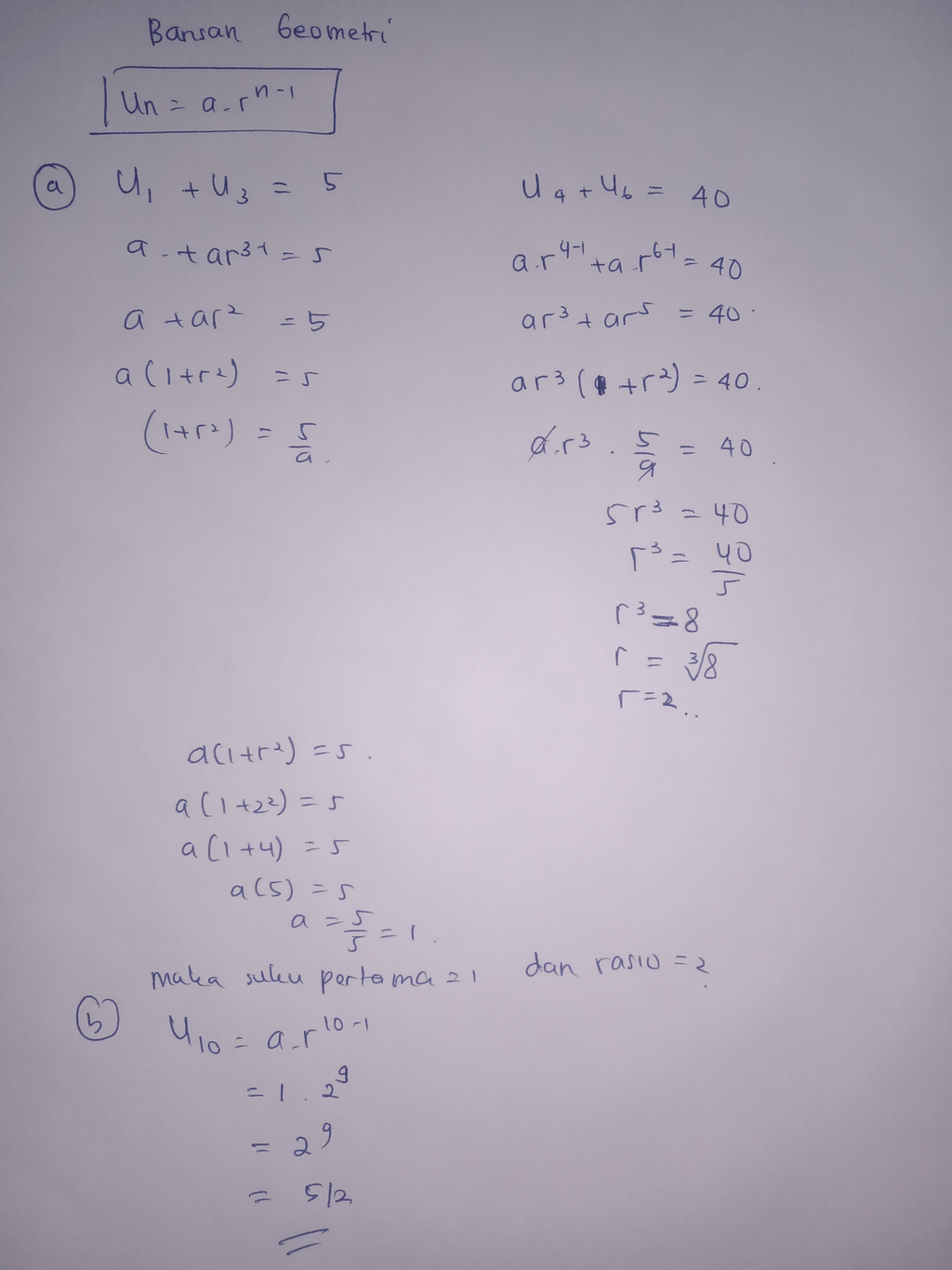
Untuk A dan B

2
1
Iklan
E. Nur
30 September 2024 03:59

· 0.0 (0)
Iklan
Tanya ke AiRIS
Yuk, cobain chat dan belajar bareng AiRIS, teman pintarmu!

LATIHAN SOAL GRATIS!
Drill Soal
Latihan soal sesuai topik yang kamu mau untuk persiapan ujian


Perdalam pemahamanmu bersama Master Teacher
di sesi Live Teaching, GRATIS!