Shopa U
15 Mei 2024 13:12
Iklan
Shopa U
15 Mei 2024 13:12
Pertanyaan
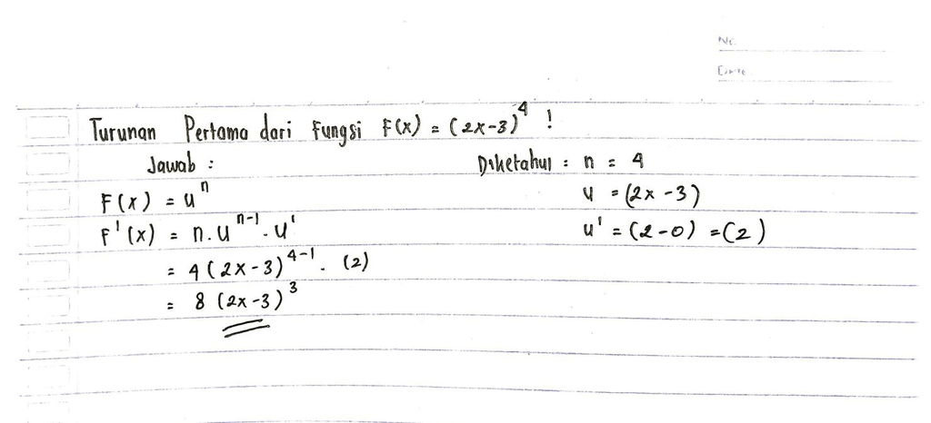
turunan pertama dari fungsi f(x)=(2x-3)^4
1
1
Iklan
Mutia D
15 Mei 2024 13:36
Semoga membantu!

· 5.0 (2)
Iklan
Tanya ke AiRIS
Yuk, cobain chat dan belajar bareng AiRIS, teman pintarmu!

LATIHAN SOAL GRATIS!
Drill Soal
Latihan soal sesuai topik yang kamu mau untuk persiapan ujian


Perdalam pemahamanmu bersama Master Teacher
di sesi Live Teaching, GRATIS!