Auliyaa A
07 Agustus 2024 12:40
Iklan
Auliyaa A
07 Agustus 2024 12:40
1
2
Iklan
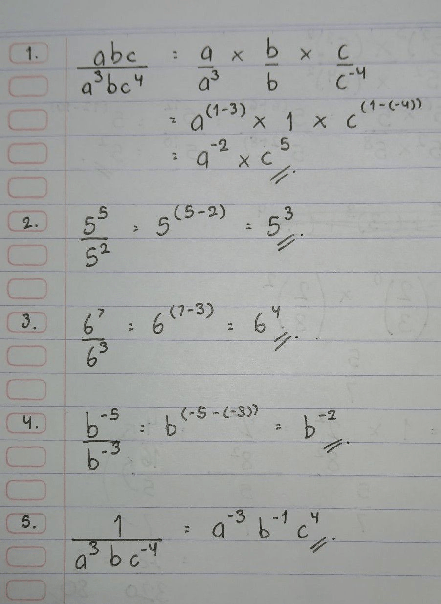
Diana Q
07 Agustus 2024 14:04
Ini jawabannya

· 0.0 (0)
Iklan
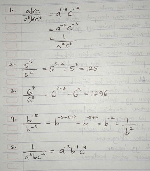
Reiyada G
07 Agustus 2024 13:19
berikut jawabannya:

· 5.0 (1)
Tanya ke AiRIS
Yuk, cobain chat dan belajar bareng AiRIS, teman pintarmu!

LATIHAN SOAL GRATIS!
Drill Soal
Latihan soal sesuai topik yang kamu mau untuk persiapan ujian


Perdalam pemahamanmu bersama Master Teacher
di sesi Live Teaching, GRATIS!