Rosyida A

04 November 2024 09:00
Iklan
Rosyida A

04 November 2024 09:00
Pertanyaan
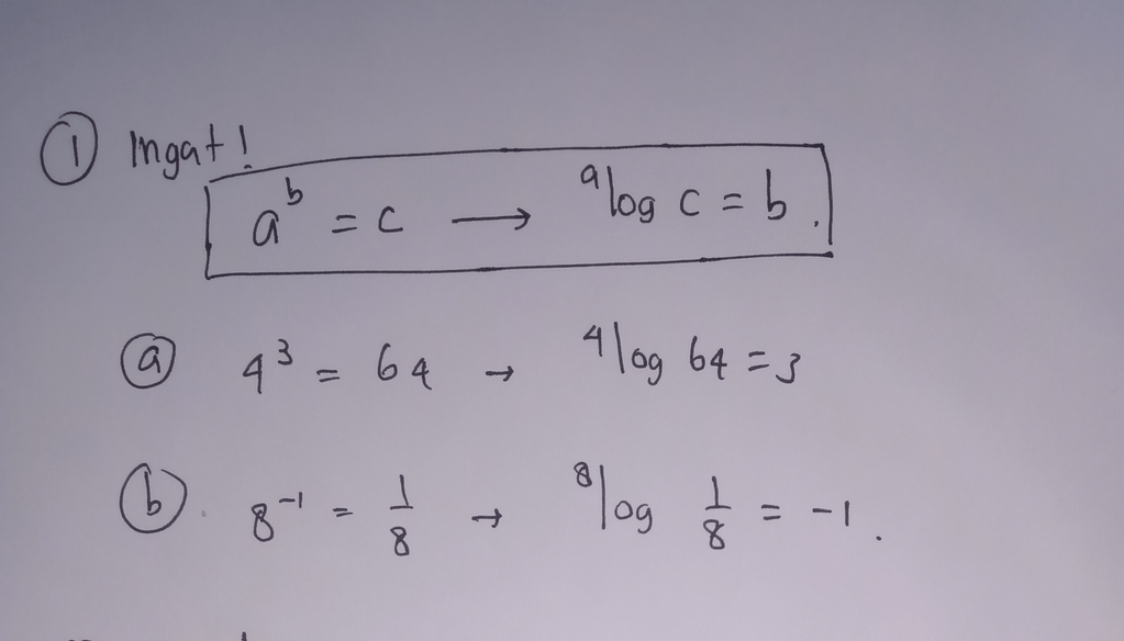
tolong jwab sesuai pertanyaan dengan urut
1000 koin trmksh

2
1
Iklan
E. Nur
04 November 2024 14:58

· 0.0 (0)
Iklan
Tanya ke AiRIS
Yuk, cobain chat dan belajar bareng AiRIS, teman pintarmu!

LATIHAN SOAL GRATIS!
Drill Soal
Latihan soal sesuai topik yang kamu mau untuk persiapan ujian


Perdalam pemahamanmu bersama Master Teacher
di sesi Live Teaching, GRATIS!