Zzooorouu Z
09 Juni 2024 00:48
Iklan
Zzooorouu Z
09 Juni 2024 00:48
Pertanyaan
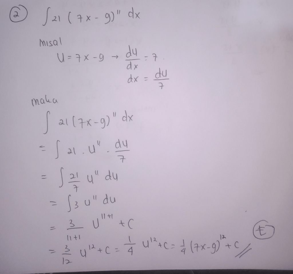
tolong jawab pake cara ya

3
3
Iklan
E. Nur
09 Juni 2024 02:42

· 4.3 (6)
Iklan
Asraf A

09 Juni 2024 10:40
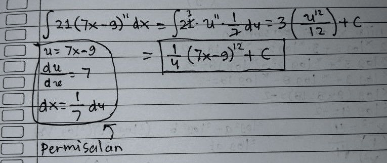
jawaban yang benar adalah (E)

· 5.0 (1)
Benhard K
09 Juni 2024 06:32
Semoga beruntung

· 0.0 (0)
Tanya ke AiRIS
Yuk, cobain chat dan belajar bareng AiRIS, teman pintarmu!

LATIHAN SOAL GRATIS!
Drill Soal
Latihan soal sesuai topik yang kamu mau untuk persiapan ujian


Perdalam pemahamanmu bersama Master Teacher
di sesi Live Teaching, GRATIS!