Zzooorouu Z
27 Mei 2024 01:04
Iklan
Zzooorouu Z
27 Mei 2024 01:04
Pertanyaan
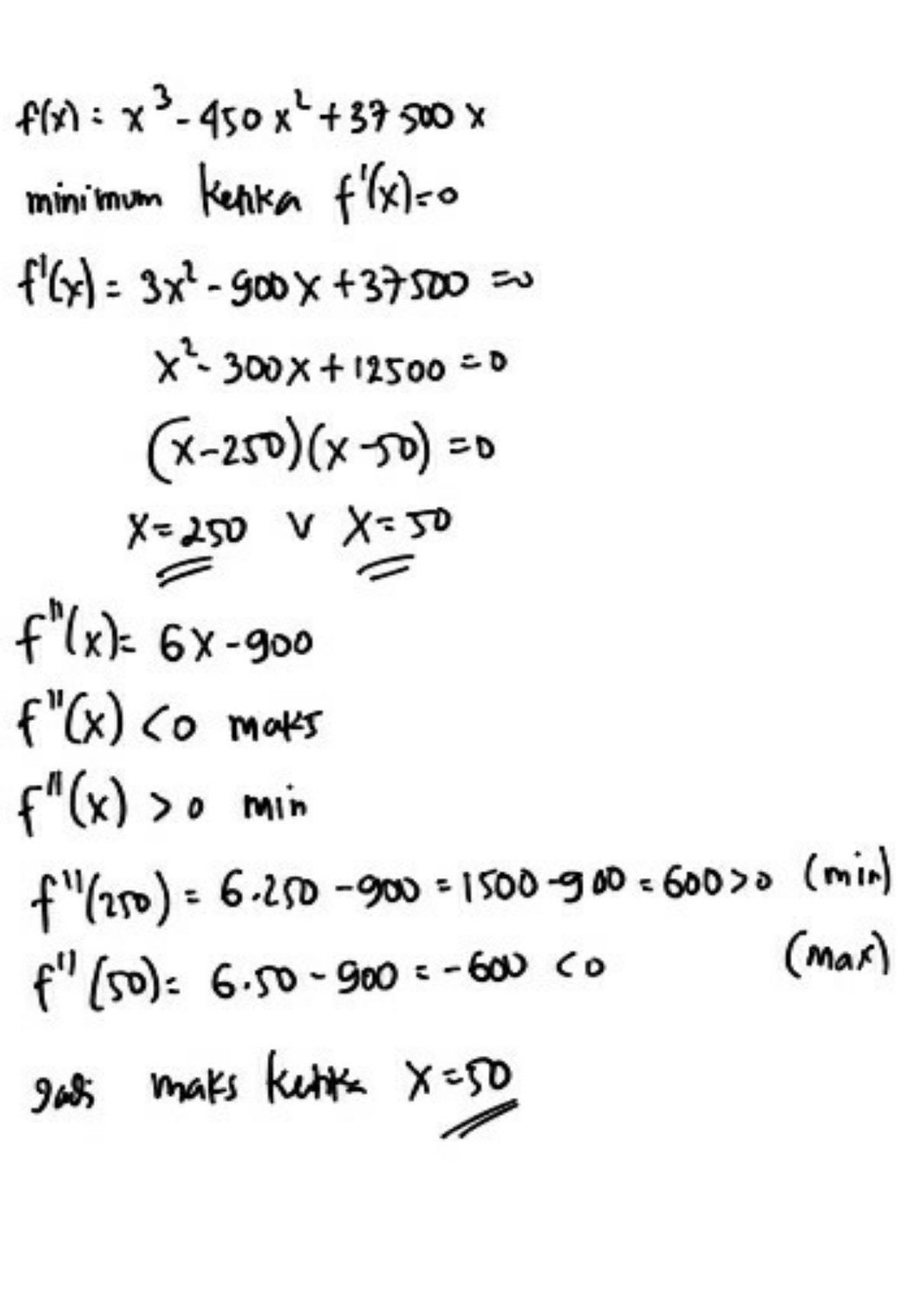
tolong jawab pake cara pls

1
1
Iklan
Kevin L

Gold
27 Mei 2024 01:27
Jawaban ada pada gambar

· 0.0 (0)
Iklan
Tanya ke AiRIS
Yuk, cobain chat dan belajar bareng AiRIS, teman pintarmu!

LATIHAN SOAL GRATIS!
Drill Soal
Latihan soal sesuai topik yang kamu mau untuk persiapan ujian


Perdalam pemahamanmu bersama Master Teacher
di sesi Live Teaching, GRATIS!