Bima I
30 Juli 2024 07:30
Iklan
Bima I
30 Juli 2024 07:30
Pertanyaan
Tolong jawab dong please, dikumpul besok

5
2
Iklan
Samudra A

Community
30 Juli 2024 07:58
here

· 5.0 (1)
Bima I
30 Juli 2024 08:32
terima kasih😁😁
Iklan
Tazqia A
30 Juli 2024 08:27
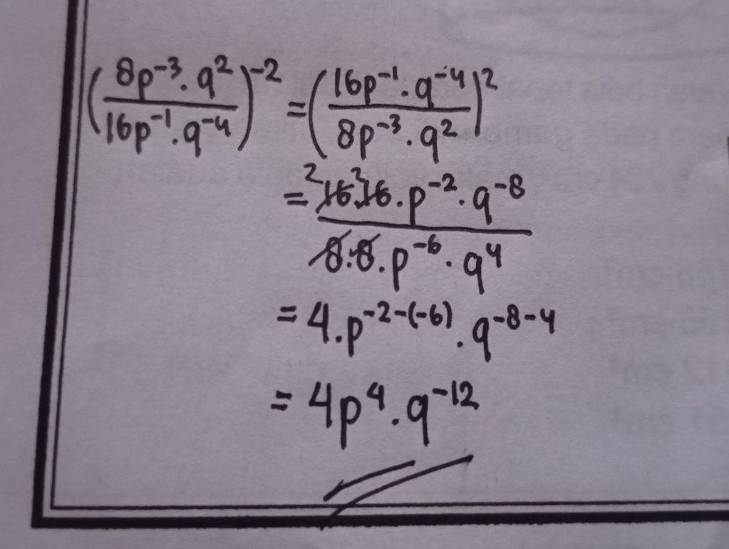
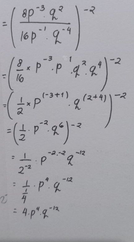
Ingat kembali sifat-sifat eksponen pangkat pecahan, ada 2 cara yang bisa dikerjakan :
1.) Sederhanakan bentuk yang ada di dalam kurung terlebih dahulu, lalu hasilnya tadi kalikan dengan pangkatnya.
Contoh : [(2 . g³ . h⁶) / (4 . g⁴. h⁵)]²
Maka, [(½ . g‐¹ . h¹)]²
(¼ . g‐² . h²) ✅️
2.) Bilangan pembilang dan penyebut harus dipangkatkan semua, terutama untuk koefisien dan variabel yang berpangkat maupun bukan.
Contoh : [(2 . g³ . h⁶) / (4 . g⁴. h⁵)]²
Maka, (4 . g⁶ . h¹²) / (16 . g⁸ . h¹⁰)
(¼ . g‐² . h²) ✅️
Dengan cara yag berbeda tetap menghasilkan jawaban yang sama.
Jawaban untuk persoalan di atas, dikerjakan seperti dengan cara pertama, dan hasil alhirnya adalah 4 . p⁴ . q-¹²

· 5.0 (1)
Bima I
30 Juli 2024 08:32
hehe, thank you
Tanya ke AiRIS
Yuk, cobain chat dan belajar bareng AiRIS, teman pintarmu!

LATIHAN SOAL GRATIS!
Drill Soal
Latihan soal sesuai topik yang kamu mau untuk persiapan ujian


Perdalam pemahamanmu bersama Master Teacher
di sesi Live Teaching, GRATIS!