DraVill D
14 Oktober 2025 02:07
Iklan
DraVill D
14 Oktober 2025 02:07
Pertanyaan
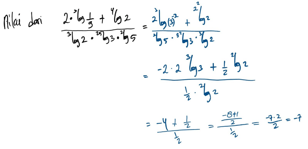
tolong dong ini gmn

1
1
Iklan
Muhammad A
14 Oktober 2025 07:36
jawabannya -7

· 5.0 (2)
Iklan
Tanya ke AiRIS
Yuk, cobain chat dan belajar bareng AiRIS, teman pintarmu!

LATIHAN SOAL GRATIS!
Drill Soal
Latihan soal sesuai topik yang kamu mau untuk persiapan ujian


Perdalam pemahamanmu bersama Master Teacher
di sesi Live Teaching, GRATIS!