Quinsha A
29 September 2025 10:55
Iklan
Quinsha A
29 September 2025 10:55
Pertanyaan
Tolong dong cara nyaa

6
1
Iklan
Nadine P
29 September 2025 11:18
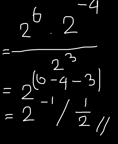
(2^(6) * 2^(-4))/(2^(3)) = 2^((6-4-3)) = 2^(-1) / 1/2

· 0.0 (0)
Quinsha A
29 September 2025 11:20
Terima Kasih banyaaaakk Kakakkk
Iklan
Tanya ke AiRIS
Yuk, cobain chat dan belajar bareng AiRIS, teman pintarmu!

LATIHAN SOAL GRATIS!
Drill Soal
Latihan soal sesuai topik yang kamu mau untuk persiapan ujian


Perdalam pemahamanmu bersama Master Teacher
di sesi Live Teaching, GRATIS!