Oddyssey O
17 September 2024 07:41
Iklan
Oddyssey O
17 September 2024 07:41
Pertanyaan
tolong dijawab dong hehe

1
1
Iklan
Yehezkiel D
17 September 2024 15:04
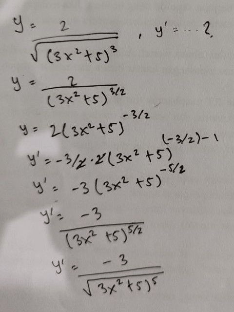
y = 2/(3x2 + 5)3/2
y= 2 × (3x2 + 5)-3/2
y' = -3/2 × 2 (3x2 + 5)(-3/2) - 1
y' = -3 (3x2 + 5)-5/2
y' = -3/(3x2 + 5)5/2
y' = -3/√(3x2 + 5)5
Jawabannya, A

· 0.0 (0)
Iklan
Tanya ke AiRIS
Yuk, cobain chat dan belajar bareng AiRIS, teman pintarmu!

LATIHAN SOAL GRATIS!
Drill Soal
Latihan soal sesuai topik yang kamu mau untuk persiapan ujian


Perdalam pemahamanmu bersama Master Teacher
di sesi Live Teaching, GRATIS!