Daphnee V

19 Oktober 2025 13:05
Iklan
Daphnee V

19 Oktober 2025 13:05
Pertanyaan
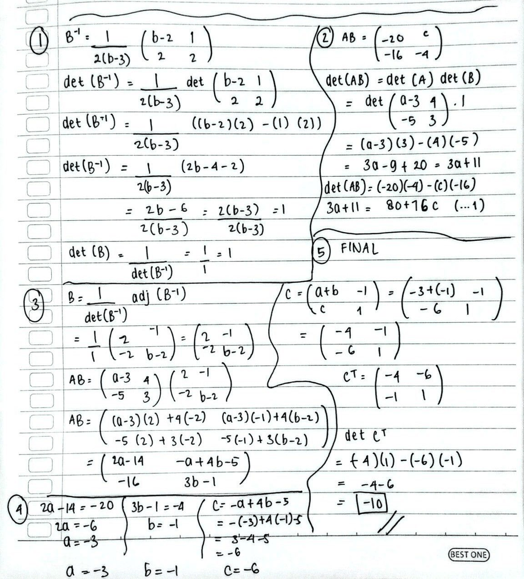
tolong bntu jawab soal inii, makasih

66
3
Iklan
R. Setyo
Mahasiswa/Alumni Universitas Negeri Yogyakarta
20 Oktober 2025 01:11
· 5.0 (1)
Iklan
Fahmi W
20 Oktober 2025 12:40
izin menjawab

· 5.0 (3)
Pondok O
22 Oktober 2025 00:02
inii, makasih
· 5.0 (1)
Tanya ke AiRIS
Yuk, cobain chat dan belajar bareng AiRIS, teman pintarmu!

LATIHAN SOAL GRATIS!
Drill Soal
Latihan soal sesuai topik yang kamu mau untuk persiapan ujian


Perdalam pemahamanmu bersama Master Teacher
di sesi Live Teaching, GRATIS!