Ira N
12 September 2024 07:28
Iklan
Ira N
12 September 2024 07:28
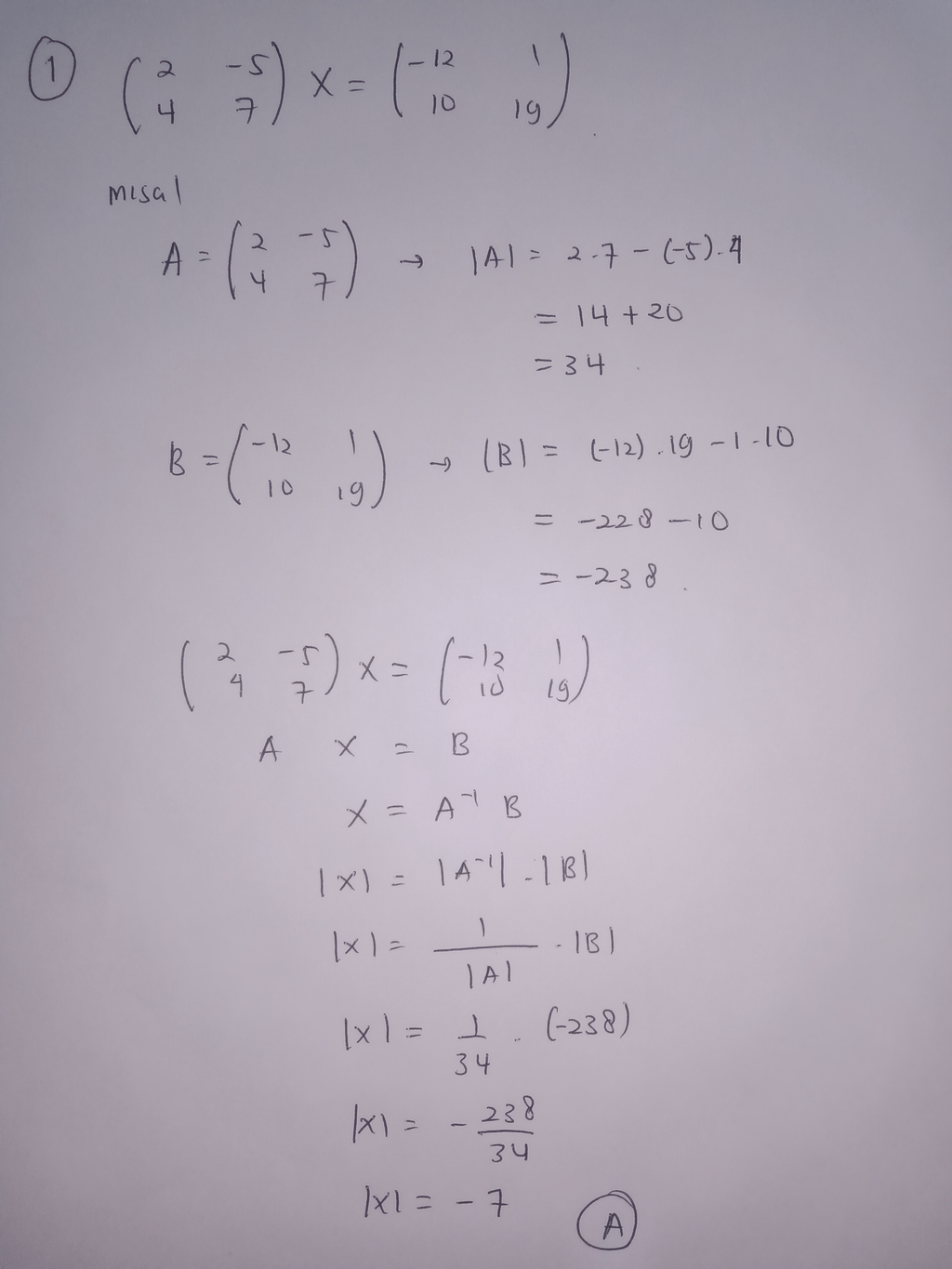
Pertanyaan
tolong bantu yaa

27
1
Iklan
E. Nur
12 September 2024 14:54

· 5.0 (1)
Iklan
Tanya ke AiRIS
Yuk, cobain chat dan belajar bareng AiRIS, teman pintarmu!

LATIHAN SOAL GRATIS!
Drill Soal
Latihan soal sesuai topik yang kamu mau untuk persiapan ujian


Perdalam pemahamanmu bersama Master Teacher
di sesi Live Teaching, GRATIS!