Ramdhan B
23 Agustus 2024 23:04
Iklan
Ramdhan B
23 Agustus 2024 23:04
Pertanyaan
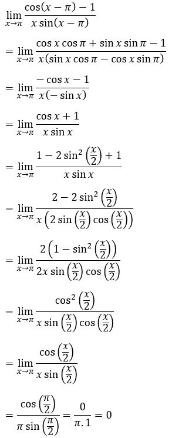
tolong bantu ya kak

1
1
Iklan
Mario A
24 Agustus 2024 04:22
0

· 0.0 (0)
Iklan
Tanya ke AiRIS
Yuk, cobain chat dan belajar bareng AiRIS, teman pintarmu!

LATIHAN SOAL GRATIS!
Drill Soal
Latihan soal sesuai topik yang kamu mau untuk persiapan ujian


Perdalam pemahamanmu bersama Master Teacher
di sesi Live Teaching, GRATIS!