Nabila A

26 Agustus 2024 07:21
Iklan
Nabila A

26 Agustus 2024 07:21
Pertanyaan
Tolong bantu jwb kakkkkππππ

1
1
Iklan
BimBim B
26 Agustus 2024 09:46
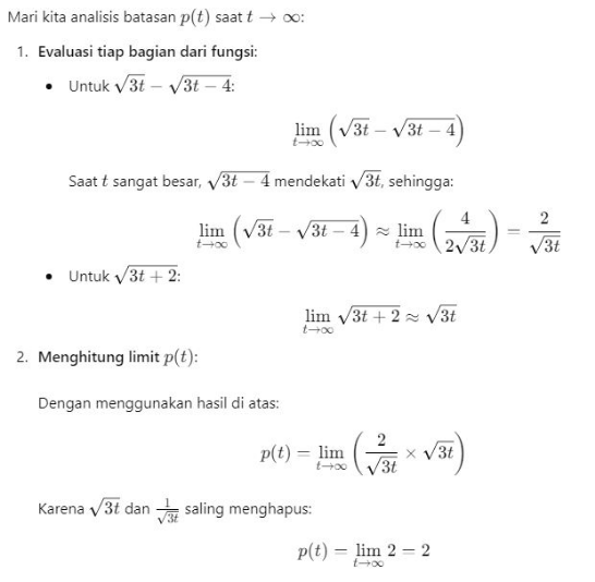
Penjelasan
terlampir

Β· 5.0 (1)
Iklan
Tanya ke AiRIS
Yuk, cobain chat dan belajar bareng AiRIS, teman pintarmu!

LATIHAN SOAL GRATIS!
Drill Soal
Latihan soal sesuai topik yang kamu mau untuk persiapan ujian


Perdalam pemahamanmu bersama Master Teacher
di sesi Live Teaching, GRATIS!