Najwa A
06 Oktober 2024 15:39
Iklan
Najwa A
06 Oktober 2024 15:39
Pertanyaan
Tentukan Q1,Q3,D3,D7,P30, dan P50.

1
1
Iklan
Nyx N
07 Oktober 2024 05:50
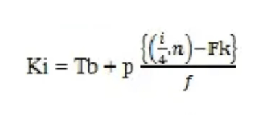
1. Cari letak dgn rumus
Q:i/4xn
D:i/10xn
P: i/100xn
Hasil:
Q1: 1/4x30: 7,5 (35-39)
Q3: 3/4x30: 22,5 (50-54)
D3: 3/10x30: 9 (35-39)
D7:7/10x30:22 (50-54)
P30: 30/100x30: 9 (35-39)
P50: 50/100x30: 15 (40-44)
2. Tentukan tepi bawah dan interval
interval: 5
tb: Q1/D3/P30: 34,5
Q3/D7: 49,5
P50: 49,5
3. Masukkan ke rumus di foto yg menghasilkan:
Q1: 39,33
Q3: 53,56
D3: 38,9
D7: 53,5
P30: 38,9
P50: 43,5
Itu yaa, mohon maaf jika ada kesalahan

· 0.0 (0)
Iklan
Tanya ke AiRIS
Yuk, cobain chat dan belajar bareng AiRIS, teman pintarmu!

LATIHAN SOAL GRATIS!
Drill Soal
Latihan soal sesuai topik yang kamu mau untuk persiapan ujian


Perdalam pemahamanmu bersama Master Teacher
di sesi Live Teaching, GRATIS!