Indah A
02 Februari 2024 13:38
Iklan
Indah A
02 Februari 2024 13:38
Pertanyaan
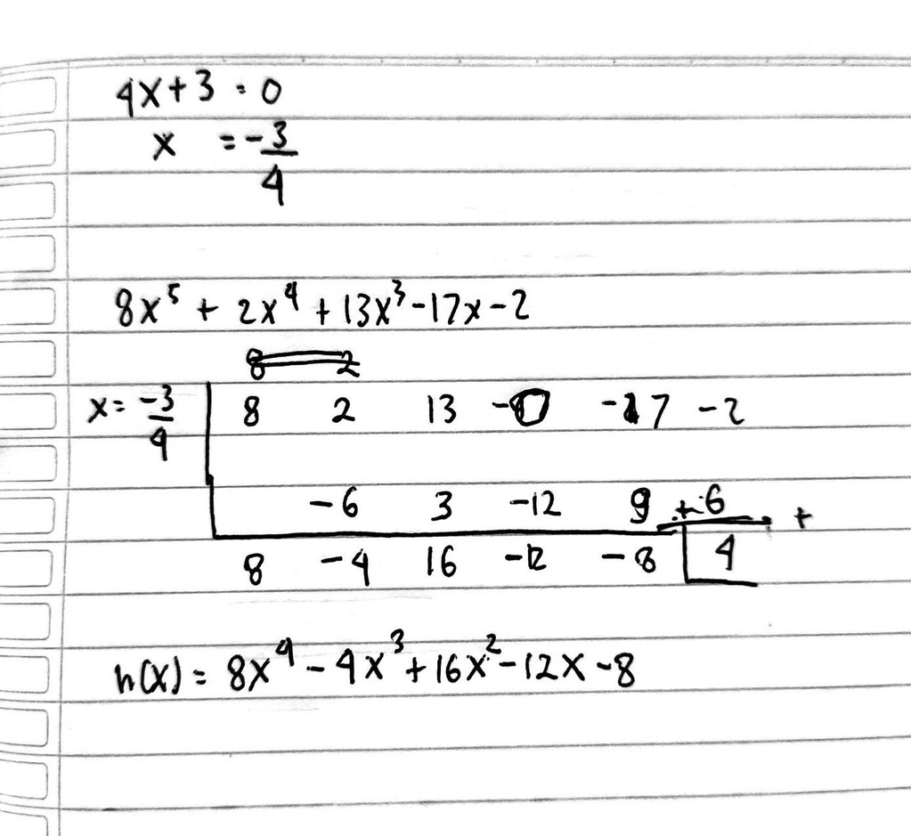
tentukan hasil bagi dari pembagian berikut ini dengan cara biasa dan horner
(8x⁵ + 2x⁴ + 13x³ – 17 x –2) : (4x + 3)
3
2
Iklan
Atikah R
03 Februari 2024 03:08
Cara Horner

· 0.0 (0)
Iklan
Mercon M

Community
28 April 2024 08:19
Jawabannya adalah f(x) = 8x⁴ - 4x³ + 16x² - 12x - 8
Pembahasan:

· 0.0 (0)
Tanya ke AiRIS
Yuk, cobain chat dan belajar bareng AiRIS, teman pintarmu!

LATIHAN SOAL GRATIS!
Drill Soal
Latihan soal sesuai topik yang kamu mau untuk persiapan ujian


Perdalam pemahamanmu bersama Master Teacher
di sesi Live Teaching, GRATIS!