Rhs R
27 Juli 2024 07:30
Iklan
Rhs R
27 Juli 2024 07:30
Pertanyaan
Sifat - sifat bilangan berpangkat

1
2
Iklan
Harry A
27 Juli 2024 07:49
Berikut ya jawabannya

· 5.0 (1)
Rhs R
27 Juli 2024 07:50
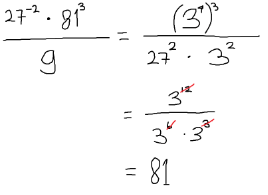
apakah bener ini jawaban
Iklan
Fakhry Z
27 Juli 2024 08:41
Sifat - Sifat Bilangan Berpangkat : pangkat bulat positif, pangkat bulat negatif, pangkat nol, pangkat pecahan
· 0.0 (0)
Tanya ke AiRIS
Yuk, cobain chat dan belajar bareng AiRIS, teman pintarmu!

LATIHAN SOAL GRATIS!
Drill Soal
Latihan soal sesuai topik yang kamu mau untuk persiapan ujian


Perdalam pemahamanmu bersama Master Teacher
di sesi Live Teaching, GRATIS!