Fayola G
04 November 2025 11:01
Iklan
Fayola G
04 November 2025 11:01
Pertanyaan
selesikan kuadrat dengan rumus abc.
22
2
Iklan
Muhammad F
05 November 2025 02:12
jangan lupa sama rumus -b±√b2-4ac/2a yaa

· 0.0 (0)
Iklan
Assyifa N
05 November 2025 02:15
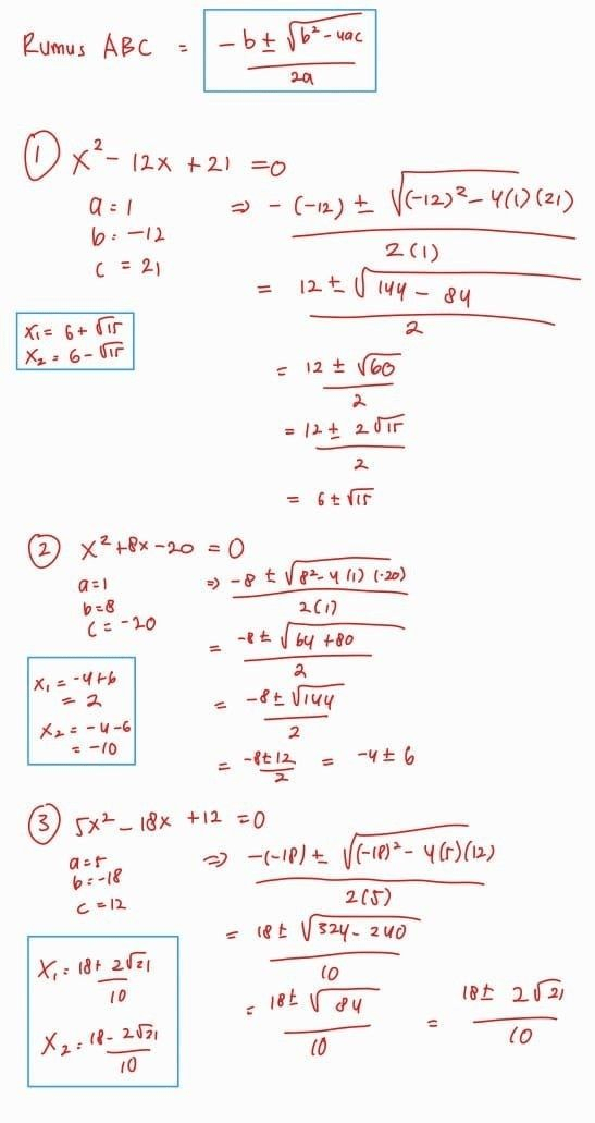
1. x2−12x+21=0
x=2a−b±b2−4ac
Di sini:
x=2(1)−(−12)±(−12)2−4(1)(21)
x=212±144−84
x=212±60
x=212±215
hasil: x= 6 plus mines akar 15
2. x2+8x−20=0
a=1,b=8,c=−20
x=2(1)−8±82−4(1)(−20)
x=2−8±64+80
x=2−8±144
x=2−8±12
hasil nya x=−8+122=42=2x =2
3. 5x2−18x+12=0
x=2(5)−(−18)±(−18)2−4(5)(12)
x=1018±324−240
x=1018±84
akar 18 =2 akar 21
x=1018±221
hasil x= 9 plus mines ^21/5
· 0.0 (0)
Tanya ke AiRIS
Yuk, cobain chat dan belajar bareng AiRIS, teman pintarmu!

LATIHAN SOAL GRATIS!
Drill Soal
Latihan soal sesuai topik yang kamu mau untuk persiapan ujian


Perdalam pemahamanmu bersama Master Teacher
di sesi Live Teaching, GRATIS!