Dija D
17 September 2025 14:54
Iklan
Dija D
17 September 2025 14:54
Pertanyaan
s
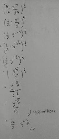
bqntu sederhana kan

5
1
Iklan
Fadhil I
17 September 2025 15:16
Bantu jawab

· 5.0 (1)
Iklan
Tanya ke AiRIS
Yuk, cobain chat dan belajar bareng AiRIS, teman pintarmu!

LATIHAN SOAL GRATIS!
Drill Soal
Latihan soal sesuai topik yang kamu mau untuk persiapan ujian


Perdalam pemahamanmu bersama Master Teacher
di sesi Live Teaching, GRATIS!