Lavenn L
10 Desember 2024 15:02
Iklan
Lavenn L
10 Desember 2024 15:02
Pertanyaan
Perhatikan gambar berikut!
fyi reward nya 500point!

1
1
Iklan
Marlfile S
10 Desember 2024 16:06
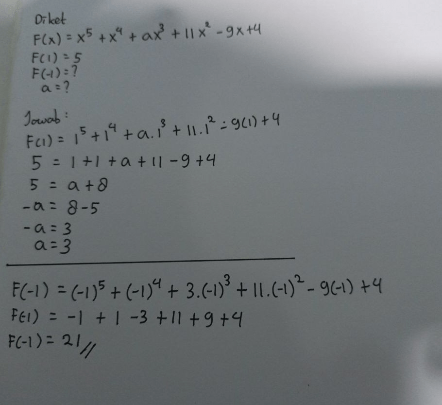
setelah dicari dapat F(-1) = 21
tolong di koreksi ya kalo ada salah

· 0.0 (0)
Iklan
Tanya ke AiRIS
Yuk, cobain chat dan belajar bareng AiRIS, teman pintarmu!

LATIHAN SOAL GRATIS!
Drill Soal
Latihan soal sesuai topik yang kamu mau untuk persiapan ujian


Perdalam pemahamanmu bersama Master Teacher
di sesi Live Teaching, GRATIS!