Rania N
31 Mei 2024 16:15
Iklan
Rania N
31 Mei 2024 16:15
Pertanyaan
Mohon dibantu kakak2 semua

1
2
Iklan
Andrew F
31 Mei 2024 23:05
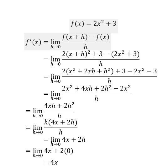
Soal ini sama saja dengan meminta turunan pertama dari fungsi tersebut.
Maka :
f(x) = 2x² + 3
f'(x) = (2 × 2)x2 - 1 + (3 × 0)x0 - 1 (turunan pertamanya)
f'(x) = 4x1 + 0x-1
f'(x) = 4x.
Jadi, turunan pertama dari fungsi tersebut adalah f'(x) = 4x.
Semoga membantu.
· 4.0 (2)
Rania N
01 Juni 2024 02:03
terimakasih banyak kak
Iklan
Arslyn M
01 Juni 2024 01:23
f'(x)=4x

· 5.0 (1)
Rania N
01 Juni 2024 02:03
terimakasih banyak kak
Tanya ke AiRIS
Yuk, cobain chat dan belajar bareng AiRIS, teman pintarmu!

LATIHAN SOAL GRATIS!
Drill Soal
Latihan soal sesuai topik yang kamu mau untuk persiapan ujian


Perdalam pemahamanmu bersama Master Teacher
di sesi Live Teaching, GRATIS!