Della D
17 Oktober 2025 08:10
Iklan
Della D
17 Oktober 2025 08:10
Pertanyaan
Mohon bantuannya, terima kasih.

14
1
Iklan
Muhammad R
17 Oktober 2025 09:22
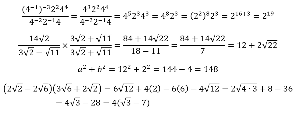
2. D. 219
3. C. 148
4. B. 4(√3-7)
CMIIW
(Proses pengerjaan ada pada gambar terlampir)

· 5.0 (1)
Della D
17 Oktober 2025 09:26
terima kasih banyakk! :D
Iklan
Tanya ke AiRIS
Yuk, cobain chat dan belajar bareng AiRIS, teman pintarmu!

LATIHAN SOAL GRATIS!
Drill Soal
Latihan soal sesuai topik yang kamu mau untuk persiapan ujian


Perdalam pemahamanmu bersama Master Teacher
di sesi Live Teaching, GRATIS!