Salsa S
23 Maret 2024 01:59
Iklan
Salsa S
23 Maret 2024 01:59
Pertanyaan
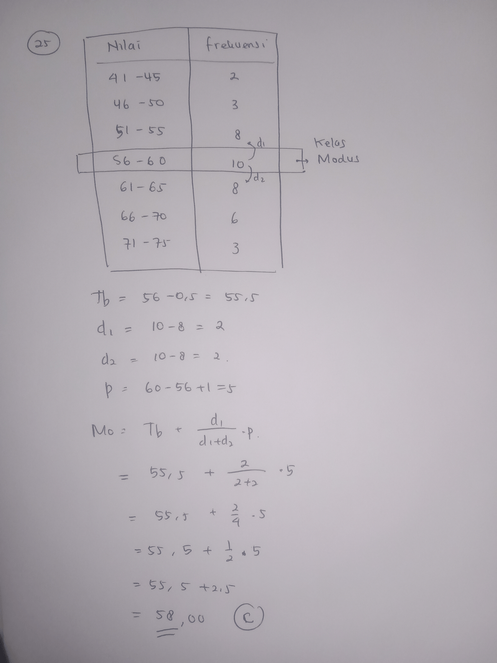
Mohon bantuannya π

3
1
Iklan
E. Nur
23 Maret 2024 03:24

Β· 0.0 (0)
Iklan
Tanya ke AiRIS
Yuk, cobain chat dan belajar bareng AiRIS, teman pintarmu!

LATIHAN SOAL GRATIS!
Drill Soal
Latihan soal sesuai topik yang kamu mau untuk persiapan ujian


Perdalam pemahamanmu bersama Master Teacher
di sesi Live Teaching, GRATIS!