Nadya J
15 Januari 2024 06:13
Iklan
Nadya J
15 Januari 2024 06:13
Pertanyaan
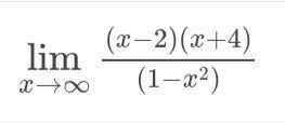
Minta tolong jawabkan

1
1
Iklan
Panji E
15 Januari 2024 12:31
jawaban terlampir yaa

· 5.0 (1)
Iklan
Tanya ke AiRIS
Yuk, cobain chat dan belajar bareng AiRIS, teman pintarmu!

LATIHAN SOAL GRATIS!
Drill Soal
Latihan soal sesuai topik yang kamu mau untuk persiapan ujian


Perdalam pemahamanmu bersama Master Teacher
di sesi Live Teaching, GRATIS!