Kenneth Y
11 Juni 2024 00:22
Iklan
Kenneth Y
11 Juni 2024 00:22
Pertanyaan
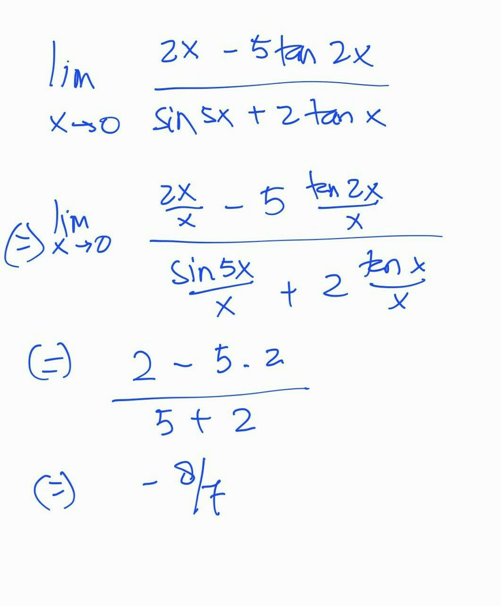
lim x -> 0 (2x - 5tan 2x)/(sin 5x + 2tan x) =

1
1
Iklan
Tjendana T

Community
11 Juni 2024 04:42
Jawaban -8/7
Pembahasan
Materi: Limit Trigonometri
Lihat pd foto terlampir cara penyelesaiannya
Gunakan sifat limit trigonometri, perhatikan foto terlampir


· 0.0 (0)
Iklan
Tanya ke AiRIS
Yuk, cobain chat dan belajar bareng AiRIS, teman pintarmu!

LATIHAN SOAL GRATIS!
Drill Soal
Latihan soal sesuai topik yang kamu mau untuk persiapan ujian


Perdalam pemahamanmu bersama Master Teacher
di sesi Live Teaching, GRATIS!